图谱信息 供应商 相关产品
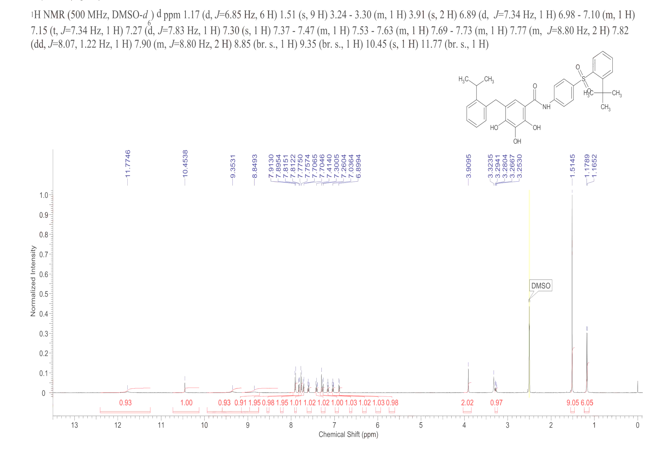
网站主页CAS数据库列表 877877-35-5更多图谱N-[4-(2-叔丁基苯磺酰基)苯基]-2,3,4-三羟基-5-(2-异丙基苯基甲基)苯甲酰胺(877877-35-5)核磁图(1HNMR)

N-[4-(2-叔丁基苯磺酰基)苯基]-2,3,4-三羟基-5-(2-异丙基苯基甲基)苯甲酰胺

产品名称 N-[4-(2-叔丁基苯磺酰基)苯基]-2,3,4-三羟基-5-(2-异丙基苯基甲基)苯甲酰胺

CAS号877877-35-5

分子式C33H35NO6S

分子量573.7