5YR企业会员
发布人:西安凯新生物科技有限公司
发布日期:2026/3/5 10:07:41
相关参数:
英文名称:4arm-PEG-NH2,4-ArmPEG-Amine
中文名称:四臂-聚乙二醇-氨基,4-臂聚乙二醇氨基
分子量:0.4k,0.6k,0.8k,1k,2k,5k,10k,20k,50k(可按需定制)
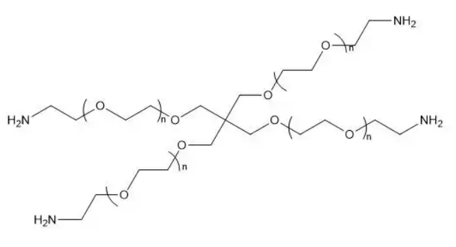
结构式:

外观:固体/粉末
纯度:95%,详情可在线咨询
发货:订单截止时间为每日16点整,部分城市可到17点整。
注意事项:在有粉尘生成的地方,提供合适的排风设备。不要让产物进入下水道。本品仅供科研用途,不作为其它用途。
保存建议:需要存储在-20°C,避光,避湿的环境。取用一定要干燥,避免反复冻融。
产品介绍:
4arm-PEG-NH2 是一种多功能化聚乙二醇(PEG)衍生物,其分子结构由中心核心向外延伸出四条等长PEG链,每条链末端均修饰有活性氨基(-NH2)。该试剂兼具PEG的水溶性、柔性与氨基的高反应活性,是构建复杂分子网络和功能化材料的理想平台。
氨基官能团作为亲核基团,可与羧基、NHS酯、异氰酸酯、醛基等多种反应性分子形成稳定共价键,为蛋白质、多肽、小分子或纳米材料的功能化修饰提供了高效平台。此外,四臂结构相较于线性PEG,提供了更高的功能化密度,适合构建交联水凝胶、纳米载体或多功能共轭物。
4arm-PEG-NH2可作为蛋白质和多肽的修饰剂,通过氨基与蛋白质或多肽的羧基或巯基反应,实现PEG化修饰。这种修饰能够改善蛋白质和多肽的水溶性和稳定性,降低免疫原性,延长体内半衰期。
4arm-PEG-NH2的合成通常通过多步反应实现。首先,以四官能团引发剂或交联剂聚合乙二醇单体,制备四臂PEG骨架;随后,利用氨基保护与脱保护技术,在PEG链末端引入活性氨基。合成过程中需严格控制溶剂、温度、反应时间和保护基的使用,以确保PEG链完整性和氨基活性。

同类型相关试剂:
8-Arm PEG-Biotin
8-Arm PEG-Epoxide
4-arm-PEG-Acrylate
4-arm-PEG-NHS-Aldehyde
4-arm-PEG-Silane
4-arm-PEG-Fluorescein
6-ARM-PEG-Dopamine
6-arm-PEG-DOPA
4-ARM-PEG-Benzaldehyde
4-ARM-PEG-DF
4-ARM-PEG-DTPA
4-arm-PEG-Azide
8-Arm PEG-Thiol
6-ARM-PEG-NH2
6-ARM-PEG-amine
8-Arm PEG-NH2
4-arm-PEG-Maleimide
4-arm-PEG-Biotin
4-ARM-PEG-Thiol
4-ARM-PEG-SH
8-Arm PEG-SH
4-Arm PEG-L-Lysine
上述信息均由西安凯新生物科技的小编小兮所整理
相关新闻资讯