上海优宁维生物科技股份有限公司
首页 产品目录 产品目录(简版) 公司动态 企业认证 企业体检 联系我们

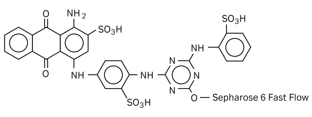
层析纯化 “蓝胶”:Cibacron Blue 3G-A 配基的应用全解析

发布人:上海优宁维生物科技股份有限公司

发布日期:2026/2/25 17:14:14

在生物大分子纯化领域,Blue 填料(俗称 “蓝胶”)是一款极具辨识度的明星产品,其独特的蓝色外观源于共价偶联的 Cibacron Blue 3G-A(简称 CB)配基。作为少数自带颜色的层析填料,它不仅是血清白蛋白纯化的首选工具,更凭借广泛的结合特异性,成为激酶、脱氢酶、干扰素等多种蛋白及辅酶纯化的核心方案。

作为生命科学领域一站式解决方案服务商,优宁维可为科研与工业用户提供全系列 Blue Sepharose 填料及配套层析技术支持,助力高效完成目标分子的分离纯化。

 

一、从染料到纯化配基:Cibacron Blue 3G-A 的发展历程

CB 分子最初作为传统纺织染料被应用于衣料染色,其纯化应用的发现源于一次偶然的实验观察。1970 年,研究人员将室温储存 6 个月的蓝色葡聚糖 2000(CB 与葡聚糖的共价结合物)反相加载至 Sephadex G-200 凝胶柱时,发现凝胶柱底部出现蓝色着色,进一步实验证实,这是 CB 分子与凝胶基质非特异性结合的结果。

随后,当研究人员将甜玉米 R - 酶加载至该 “着色” 凝胶柱时,目标蛋白在低盐缓冲液(50 mM Tris-HCl, 0.1 M NaCl, pH 7.5)中完全被保留,仅在提高 NaCl 浓度至 0.5 M 后才被洗脱。这一发现首次证实了 CB 分子可作为亲和配基特异性结合目标蛋白,由此开启了其在生物纯化领域的应用历程。

蓝色葡聚糖 2000 也因兼具 CB 的光谱吸收特性与葡聚糖的生物惰性,成为测定层析填料外水体积的标准工具。

二、Cibacron Blue 3G-A 的核心结合原理

CB 配基的结构中包含蒽醌母核、氨基、磺酸基和苯基,这使其能通过多种模式与目标分子结合,既可以是特异性的核苷酸结合,也可以是离子或疏水作用主导的非特异性结合,甚至是多种模式的协同作用。

1. 特异性核苷酸结合

大多数激酶、脱氢酶及含腺苷酸的辅酶(如 NAD+、NADP+),可通过其核苷酸结合位点与 CB 配基特异性结合,这种结合可通过添加低浓度的游离核苷酸竞争性洗脱。例如:

5 mM NAD 可洗脱酒精脱氢酶

NADP 可洗脱葡萄糖磷酸脱氢酶

提高 pH 值或添加 NAD 可分别洗脱己糖激酶和甘油醛 - 3 - 磷酸脱氢酶

2. 非特异性结合模式

离子作用:在低离子强度下,白蛋白、醛缩酶、细胞色素 C 及多种限制性核酸内切酶(如 BamHI、XbaI)可通过离子相互作用与 CB 结合,通过高盐梯度(如 0~1 M NaCl)或 pH 调整即可实现洗脱。

疏水作用:部分蛋白(如人心脏异柠檬酸脱氢酶)在高盐条件下通过疏水作用结合 CB 配基,此时可通过降低盐浓度或添加乙二醇等极性溶剂进行洗脱。例如,人白细胞干扰素可通过 0.5 M NaCl 洗脱,而成纤维干扰素则需 50% 乙二醇洗脱,体现了不同蛋白与 CB 结合机制的差异。

混合模式结合:部分蛋白(如磷酸葡萄糖异构酶、大鼠肝脏 HMGCR 还原酶)可同时通过离子作用和特异性结合与 CB 互作,因此既可用高盐洗脱,也可通过添加特异性配体(如果糖 6 - 磷酸、NADPH)解离。

3. 金属离子的调控作用

低浓度的 Zn²⁺、Mg²⁺、Al³⁺等金属离子可显著促进部分酶(如羧肽酶 G2、碱性磷酸酶、己糖激酶)与 CB 配基的结合,甚至使原本不结合的蛋白(如卵清蛋白)产生特异性结合。这一效应可能源于金属离子在 CB 与蛋白间形成 “桥接” 络合物,或中和 CB 的负电荷以增强疏水相互作用。

三、优宁维 Blue 填料应用场景

1,血清白蛋白纯化:作为 Blue 填料的经典应用,可从血浆或细胞培养液中高效捕获人血清白蛋白,纯度可达电泳级水平。

2,酶制剂纯化:适用于激酶、脱氢酶、限制性内切酶等多种酶的分离,通过调整洗脱条件可实现高纯度回收。

3,干扰素及凝血因子制备:可特异性结合干扰素、脂蛋白、凝血因子等生物活性分子,为生物制药研发提供关键纯化工具。

常见问题 FAQ

1,Blue 填料只能用于纯化白蛋白吗?

不是的。虽然白蛋白是其经典应用,但 CB 配基的结合特异性广泛,可用于激酶、脱氢酶、干扰素、凝血因子等多种蛋白及辅酶的纯化,优宁维可提供定制化的纯化方案。

2,如何选择 Blue 填料的洗脱条件?

需根据目标蛋白与 CB 的结合模式选择:特异性结合可通过添加游离核苷酸洗脱;离子作用主导的结合可通过高盐梯度洗脱;疏水作用则可通过降低盐浓度或添加极性溶剂洗脱。

3,金属离子在 CB 纯化中起到什么作用?

低浓度金属离子可促进部分蛋白与 CB 的结合,尤其适用于原本不结合 CB 的蛋白(如卵清蛋白),但需注意金属离子浓度过高可能导致蛋白变性。

4,优宁维提供哪些 Blue 填料相关产品?

优宁维提供全系列 Blue Sepharose 6 Fast Flow 等预装柱及散装填料,同时提供层析系统、缓冲液配方优化及技术支持服务,助力用户高效完成纯化实验。

 

名称
货号
规格
BLUE SEPHAROSE 6 FAST FLOW, 50ML
EA
Blue Sepharose HP, 200 ml
EA
Blue Sepharose HP, XK 50/20
EA
Series S Sensor Chip SA
EA

 

相关新闻资讯

凝胶过滤层析:原理、选型

2026/02/25

凝胶过滤层析(Gel Filtration, GF),也叫尺寸排阻层析(Size Exclusion Chromatography, SEC)或分子筛层析,是一种经典的非吸附性蛋白纯化技术。它依靠填料内部的多孔结构,根据分子大小差异实现分离 大分子无法进入孔道,随流动相快速流出;小分子进入孔道后滞留时间更长,从而实现不同组分的分离。与离子交换、疏水层析等吸附性方法不同,凝胶过滤的分离效果不依赖

抗体偶联物纯化:非亲和层析技术全攻略

2026/02/25

抗体偶联物是免疫检测、诊断试剂与蛋白研究的核心试剂,常见类型包括酶标抗体、荧光标记抗体、生物素 / 亲和素标记抗体。抗体与小分子偶联后,会出现电荷、疏水性、分子量不均一的问题,单纯依靠亲和层析难以实现高质量分离。本文围绕离子交换层析、疏水层析、凝胶过滤层析三类非亲和纯化方式,结合实际图谱案例,讲解不同抗体偶联物的纯化思路,在去除未反应原料的同时,最大程度保护复合物活性与稳定性。一、抗体偶联物纯化要

层析纯化 “蓝胶”:Cibacron Blue 3G-A 配基的应用全解析

2026/02/25

在生物大分子纯化领域,Blue 填料(俗称 蓝胶)是一款极具辨识度的明星产品,其独特的蓝色外观源于共价偶联的 Cibacron Blue 3G-A(简称 CB)配基。作为少数自带颜色的层析填料,它不仅是血清白蛋白纯化的首选工具,更凭借广泛的结合特异性,成为激酶、脱氢酶、干扰素等多种蛋白及辅酶纯化的核心方案。作为生命科学领域一站式解决方案服务商,优宁维可为科研与工业用户提供全系列 Blue Seph