What is the sulfonamide synthesis review?
Sulfanilamide, one of the earliest synthetic antimicrobial agents, holds a foundational place in medicinal chemistry because it introduced the concept of selectively inhibiting bacterial metabolism.
Discovery
In 1936, a year after Domagk's discovery of the anti-streptococcus activity of the dye prontosil, Ernest Fourneau of the Pasteur Institute in Paris discovered that prontosil breaks down in the human body to produce sulfanilamide which is the active agent that kills streptococcus bacteria. Fourneau's discovery triggered a flurry of research on structural derivatives of sulfanilamide which resulted in development of a family of highly successful antibiotics that have saved millions of lives.
Properties
Sulfanilamide is a yellowish-white or white crystal or fine powder. It has a density of 1.08 g/cm3 and a melting point of 164.5-166.5 °C. The pH of a 0.5% aqueous solution of Sulfanilamide is 5.8 to 6.1. It has a λmax of 255 and 312 nm. Solubility: One gram of sulphanilamide dissolves in approximately 37 ml alcohol or in 5 ml acetone. It is practically insoluble in chloroform, ether, or benzene.[1]
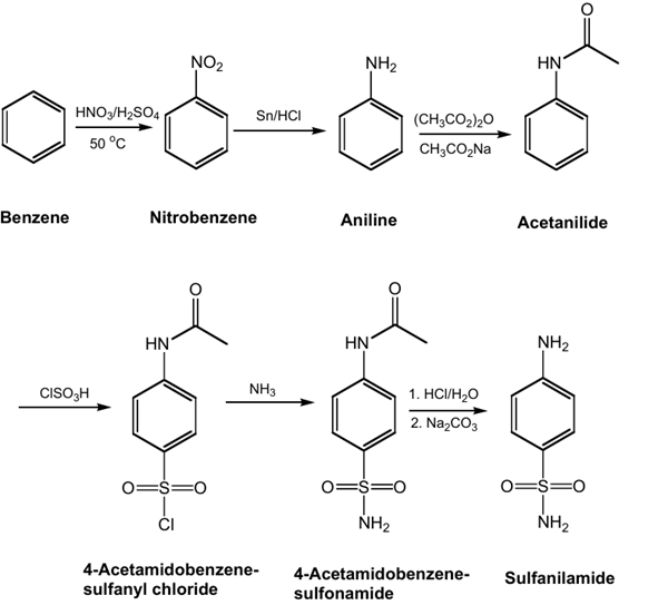
Sulfonamide synthesis review
The synthesis to be performed here will start from nitrobenzene to make sulfanilamide in five steps:

References
[1]In Enna SJ, Bylund DB (eds.).xPharm: The Comprehensive Pharmacology Reference. New York: Elsevier. pp. 1–5. doi:10.1016/b978-008055232-3.62694-7.
You may like
Related articles And Qustion
See also
Lastest Price from Sulfanilamide manufacturers

US $0.00-0.00/kg2025-10-24
- CAS:
- 63-74-1
- Min. Order:
- 25kg
- Purity:
- 99%-101%; BP
- Supply Ability:
- 1000KGS

US $0.00/kg2025-04-25
- CAS:
- 63-74-1
- Min. Order:
- 1kg
- Purity:
- 0.99
- Supply Ability:
- 1000kg



