4YR企业会员
发布人:西安凯新生物科技有限公司
发布日期:2026/2/11 9:40:13
相关参数:
中文名称:甲氧基聚乙二醇-壳聚糖(温敏水凝定制)
英文名称:mPEG-Chitosan,Methoxy-PEG-Chitosan
分子量:0.4k,0.6k,1k,2k,3.4k,5k,10k,20k
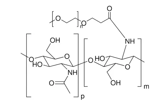
结构式:

外观:固体/粉末
纯度:95%,详情可在线咨询
发货:订单截止时间为每日16点整,部分城市可到17点整。
注意事项:在有粉尘生成的地方,提供合适的排风设备。不要让产物进入下水道。本品仅供科研用途,不作为其它用途。
保存建议:需要存储在-20°C,避光,避湿的环境。取用一定要干燥,避免反复冻融。
产品介绍:
mPEG-Chitosan(甲氧基聚乙二醇-壳聚糖)是一种通过化学偶联将亲水性聚合物单甲氧基聚乙二醇(mPEG)接枝到天然阳离子多糖壳聚糖(Chitosan, CS)主链上形成的两亲性接枝共聚物。Methoxy-PEG-Chitosan 这个分子是一个在生物材料和组织工程领域非常重要的聚合物偶联物,它结合了天然多糖的优越生物功能与合成聚合物的可调物化性能。
mPEG-Chitosan的分子设计巧妙结合了天然多糖的生物活性与合成聚合物的可调性。壳聚糖由β-(1→4)-D-葡萄糖胺和N-乙酰-D-葡萄糖胺组成,其分子链上丰富的氨基(-NH₂)和羟基(-OH)赋予其阳离子性、可生物降解性及抗菌性,但同时也导致其在中性生理环境中溶解性差、易被免疫系统快速清除。通过酰胺键、醚键或氨基甲酸酯键将mPEG接枝至壳聚糖主链后,材料表面形成致密的“水化层”,既保留了壳聚糖的生物活性位点(如氨基),又通过PEG的“隐形”效应屏蔽了正电荷,显著提升了材料的生物相容性。
壳聚糖仅在酸性溶液中溶解(pH<6.5),限制了其在生理环境中的应用。mPEG接枝后,材料的溶解性显著提升,可直接溶于水或生理缓冲液,扩展了其在药物制剂、生物成像等领域的应用场景。同时,mPEG链在纳米颗粒表面形成的“刷状”结构通过空间位阻效应防止颗粒聚集,提高了胶体稳定性。例如,在复杂生物体液中,mPEG-Chitosan纳米颗粒的聚集率较未改性壳聚糖降低80%以上。

同类型相关试剂:
mPEG-Gluconic
Methoxy-PEG-Gluconic
mPEG-PAE
Methoxy-PEG-PAE
mPEG-Piperazine
Methoxy-PEG-Piperazine
mPEG-Progestrone
Methoxy-PEG-Progestrone
mPEG-PEI-CY5
Methoxy-PEG-PEI-CY5
Methoxy-PEG-indo
mPEG-Metronidazole
Methoxy-PEG-Metronidazole
mPEG-Gamma-Oryzanol
Methoxy-PEG-DCA
mPEG-Deoxycholic acid
mPEG-Chitosan-DTPA
Methoxy-PEG-Chitosan-DTPA
Methoxy-PEG-Chitosan
Methoxy-PEG-Gamma-Oryzanol
上述信息均由西安凯新生物科技的小编小兮所整理
相关新闻资讯