4YR企业会员
发布人:西安凯新生物科技有限公司
发布日期:2026/1/22 9:32:47
产品介绍:
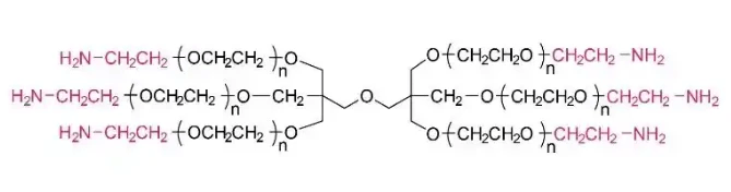
6arm-PEG-NH2是一种多臂聚乙二醇(PEG)衍生物,具有六个PEG链,每个PEG链末端都连接有一个氨基(-NH2)。6arm-PEG-NH2(六臂聚乙二醇氨基)是一种具有特殊结构的化合物,其核心是一个六甘醇或类似的多官能团核心,连接着六个相同的聚乙二醇(PEG)链臂,每个臂的末端均带有氨基(-NH2)官能团。这种多臂星型结构赋予了它高官能团密度和独特的反应性。
6arm-PEG-NH₂的分子架构由中心核心向外延伸出六条PEG链,每条链末端均修饰氨基(–NH₂)。这种设计实现了功能分区的精准控制:六臂支化结构:中心核心通常为小分子多官能团(如环氧化合物或多元醇衍生物),提供分子支化的几何基础,使PEG链均匀排列并易于偶联修饰。六臂结构显著提升了分子空间占据能力,减少自聚集现象,同时增强与其他分子的相互作用。
末端氨基官能团:氨基作为高活性亲核基团,可与羧基(–COOH)、活性酯(–NHS)、醛基(–CHO)等发生共价反应,形成稳定的酰胺键、脲键或席夫碱键。六个氨基提供多点偶联能力,支持同时连接多个目标分子或基材,显著提高功能化密度。PEG链段特性:每条PEG链由重复的乙二醇单元(–CH₂–CH₂–O–)组成,赋予分子高度柔性与良好水溶性。PEG链长度可调(通常为1–20 kDa),通过控制聚合度调节分子量,平衡水溶性与负载能力。
6arm-PEG-NH2可以用于构建药物载体,如纳米粒子、脂质体等,提高药物的稳定性和生物相容性。氨基可以与荧光标记物或生物传感器的活性基团反应,用于生物分子的检测和成像。通过氨基与纳米材料表面活性基团(如羧基、巯基)结合,改善纳米颗粒分散性并赋予靶向功能。例如,修饰金纳米颗粒后,其表面可进一步偶联抗体,实现肿瘤靶向成像与治疗。
相关参数:
英文名称:六臂聚乙二醇氨基,六臂PEG氨基
中文名称:6arm-PEG-NH2,6-arm-PEG-amine,6-arm-polyethylene glycol-amine
分子量:0.4k,0.6k,0.8k,1k,2k,5k,10k,20k,50k(可按需定制)
结构式:

外观:固体/粉末
纯度:95%,详情可在线咨询
发货:订单截止时间为每日16点整,部分城市可到17点整。
注意事项:在有粉尘生成的地方,提供合适的排风设备。不要让产物进入下水道。本品仅供科研用途,不作为其它用途。
保存建议:需要存储在-20°C,避光,避湿的环境。取用一定要干燥,避免反复冻融。

同类型相关试剂:
6-ARM-PEG-Dopamine
6-arm-PEG-DOPA
4-arm-PEG-Azide
4-arm-PEG-Maleimide
4-arm-PEG-Biotin
4-arm-PEG-Acrylate
6-ARM-PEG-NH2
6-ARM-PEG-amine
4-ARM-PEG-DF
4-arm-PEG-COOH
4-arm-PEG-SH
4-arm-PEG-Alkyne
8-Arm PEG-NH2
6-ARM-PEG-Dopamine
6-ARM-PEG-DOPA
4-Arm PEG-L-Lysine
4-Arm PEG-LYS
上述信息均由西安凯新生物科技的小编小兮所整理
相关新闻资讯