北京百灵威科技有限公司
首页 产品目录 产品目录(简版) 公司动态 企业认证 公司相册 用户评价 联系我们

胡鹏飞老师科研成果|新一代手性合成砌块:酶催化来源的多功能环己二烯模块

发布人:北京百灵威科技有限公司

发布日期:2026/3/17 9:33:32

不对称合成是选择性制备单一手性分子的化学方法,其核心在于控制反应中的立体选择性,是制造手性药物及精细化学品的必要技术。

在过去,获得单一手性分子主要有两种方式:1) 从天然来源中进行分离;2) 对左右手混合的“外消旋体”进行拆分。这两种方式都面临效率低、步骤多、成本高、资源浪费等瓶颈。现代不对称合成的目标,是在分子构建的源头,利用手性催化剂、酶或手性原料引导不对称反应,进而完成后续复杂手性分子的准确合成。

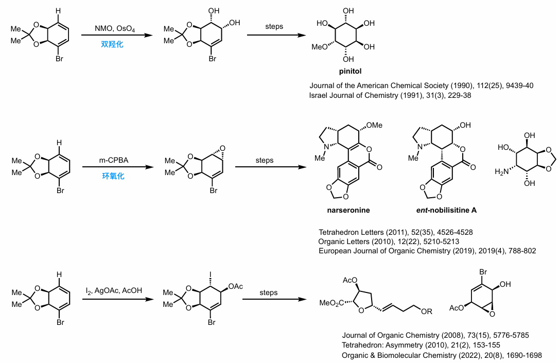
西湖大学胡鹏飞团队重磅研发(3aS,7aS)-溴代苯并二氧杂环戊烯系列砌块 (见图1、图2),依托前沿生物催化技术,以简单原料一步构筑确定且稳定的手性核心骨架,砌块自带溴、双键、羟基等可灵活衔接的反应接口,为合成化学家提供高效合成利器。基于该砌块可直接搭建河豚毒素(TTX)等结构复杂的手性化合物,省去手性中心从零构建的技术难题,大幅提升合成路线的效率与精准度,加速复杂手性分子的研发与制备进程,可应用于天然产物全合成(如河豚毒素)、酶催化反应研究、手性药物与精细化学品的开发。


图1 (3aS,7aS)-4-溴-2,2-二甲基-3a,7a-二氢苯并(d)(1,3)二氧杂环戊烯化学结构式



图2 ((3aS,7aS)-7-溴-2,2-二甲基-3a,7a-二氢苯并(d)(1,3)二氧杂环戊烷-4-基)甲醇化学结构式


百灵威稳定供应由西湖大学胡鹏飞团队研发的(3aS,7aS)-溴代苯并二氧杂环戊烯系列砌块,为科研与工业应用提供优质材料。

 核心突破

· 源头创新:工程化甲苯双加氧酶(TDO)一步精准构建传统化学难以合成的手性环己烷骨架(2);

· 合成效用卓越多官能团集成,是复杂分子模块化组装的 “乐高积木”(见图3、图4);

· 实证高效:将 TTX 合成路线从 22–69 步缩短至 16 步,显著提升可放大性(3);

· 绿色工艺生物催化温和反应,规避重金属与苛刻条件,契合可持续趋势(1-2)。

图3 (3aS,7aS)-4-溴-2,2-二甲基-3a,7a-二氢苯并(d)(1,3)二氧杂环戊烯可合成方向
图3 (3aS,7aS)-4-溴-2,2-二甲基-3a,7a-二氢苯并(d)(1,3)二氧杂环戊烯可合成方向
图4  ((3aS,7aS)-7-溴-2,2-二甲基-3a,7a-二氢苯并(d)(1,3)二氧杂环戊烷-4-基)甲醇可合成方向
图4 ((3aS,7aS)-7-溴-2,2-二甲基-3a,7a-二氢苯并(d)(1,3)二氧杂环戊烷-4-基)甲醇可合成方向
 个人简介

胡鹏飞,2014年6月获华东理工大学有机化学硕士学位,指导老师为童晓峰教授。随后加入Scott A. Snyder教授课题组,并于2019年8月获芝加哥大学博士学位。2019年9月至2021年3月作为Hewitt Foundation Fellow在Scripps研究所的Phil S. Baran课题组进行电合成化学博士后研究。胡鹏飞博士于2021年4月全职加入西湖大学理学院任特聘研究员,研究集中在通过开发突破传统观念的合成策略和反应方法学高效地合成复杂天然产物分子。

 产品列表
品名CAS货号
(3aS,7aS)-4-Bromo-2,2-dimethyl-3a,7a-dihydrobenzo[d][1,3]dioxole, 95%
(3aS,7aS)-4-溴-2,2-二甲基-3a,7a-二氢苯并[d][1,3]二氧杂环戊烯
130669-75-9
((3aS,7aS)-7-Bromo-2,2-dimethyl-3a,7a-dihydrobenzo[d][1,3]dioxol-4-yl)methanol, 95%
((3aS,7aS)-7-溴-2,2-二甲基-3a,7a-二氢苯并[d][1,3]二氧杂环戊烷-4-基)甲醇
/
 参考文献
  1. Carrera I, Brovetto M, Seoane G A. Chemoenzymatic preparation of (6R)-5, 6-dihydro-2H-pyran-2-one: a ubiquitous structural motif of biologically active lactones(J). Tetrahedron: Asymmetry, 2013, 24(23): 1467-1472.

  2. Trant J F, Froese J, Hudlicky T. Enzymatic oxidation of para-substituted arenes: access to new non-racemic chiral metabolites for synthesis(J). Tetrahedron: Asymmetry, 2013, 24(4): 184-190.

  3. Peng C, Wu W, Ye Y, et al. 16-Step Scalable Chemoenzymatic Synthesis of Tetrodotoxin(J). Journal of the American Chemical Society, 2026.


相关新闻资讯

药物分析标准品全系列供应

2026/03/17

在科学研究、医药开发、环境监测及工业生产中,高纯度标准品是确保数据准确、结果可靠的核心基石。百灵威深耕药物分析质控领域,聚焦原料药标定、杂质谱研究、方法学验证核心需求,重磅推出覆盖药物分析标准品矩阵。为制药企业、检测机构、科研院所提供“一站式”质控解决方案,筑牢药品研发与生产的质量防线。 原料药对照品✅ 高纯度:纯度≥97%,杂质含量极低,满足原料药含量测定与鉴别需求✅ 严质控:每批产品均附带完整

胡鹏飞老师科研成果|新一代手性合成砌块:酶催化来源的多功能环己二烯模块

2026/03/17

不对称合成是选择性制备单一手性分子的化学方法,其核心在于控制反应中的立体选择性,是制造手性药物及精细化学品的必要技术。在过去,获得单一手性分子主要有两种方式:1) 从天然来源中进行分离;2) 对左右手混合的“外消旋体”进行拆分。这两种方式都面临效率低、步骤多、成本高、资源浪费等瓶颈。现代不对称合成的目标,是在分子构建的源头,利用手性催化剂、酶或手性原料引导不对称反应,进而完成后续复杂手性分子的准确

GB 5009.226-2016 食品安全国家标准 食品中过氧化氢残留量的测定

2026/03/17

2016年,国家卫生和计划生育委员会发布了《食品安全国家标准 食品中过氧化氢残留量的测定》(GB 5009.226-2016)本标准规定了食品中过氧化氢残留量的测定方法。本标准于2017年3月1日代替GB/T 23499-2009《食品中残留过氧化氢的测定方法》百灵威提供GB 5009.226-2016中常用的试剂、标准品和耗材,满足不同客户需求。产品优势:质控严格,货源稳定。 第一法 碘量法▼▲