5YR企业会员
发布人:杭州固拓生物科技有限公司
发布日期:2025/12/4 9:07:54
索马鲁肽和利拉鲁肽均属于GLP-1受体激动剂,同为诺和诺德研发,核心用途均覆盖2型糖尿病治疗和体重管理,但在各方面存在显著差异。
分子结构与药效时长
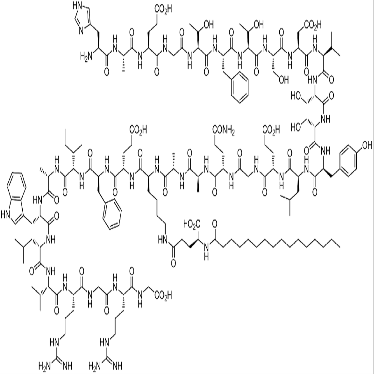
索马鲁肽:是天然人GLP-1的长效类似物,通过在GLP-1分子上引入脂肪酸侧链,增强与白蛋白的结合能力,大幅延长体内半衰期至7天,实现每周1次给药,能平稳维持血药浓度,避免血糖和药物浓度大幅波动。
利拉鲁肽:同样是GLP-1类似物,但分子结构修饰方式不同,半衰期约13小时,属于每日1次给药的中长效制剂,需每天固定时间皮下注射,血药浓度维持依赖每日规律用药。

索马鲁肽
适用场景的差异
索马鲁肽:减肥适应症获批更晚(中国2024年获批),且同时拥有注射剂和口服剂型,口服剂型为全球首个口服GLP-1制剂,适配无法接受注射的患者;此外,其心血管保护证据更充分,明确适用于合并心血管疾病的2型糖尿病患者。
利拉鲁肽:减肥适应症获批较早,仅有注射剂型;虽也有心血管保护获益,但在指南中针对合并肾病的患者,推荐优先级略低于索马鲁肽。

利拉鲁肽
临床效果
索马鲁肽的GLP-1受体亲和力更高,降糖幅度略优于利拉鲁肽,尤其在空腹血糖和糖化血红蛋白(HbA1c)下降方面,表现更显著。
索马鲁肽的减重优势明显,每周2.4mg剂量下,平均减重幅度可达10%-15%;利拉鲁肽每日3.0mg剂量下,平均减重幅度约5%-8%,差距主要源于索马鲁肽更强的食欲抑制和脂肪分解作用。
此外,两者均被证实可降低2型糖尿病患者的心血管不良事件风险,但索马鲁肽在降低心肌梗死、卒中风险的临床试验数据更全面,对合并心血管疾病的患者更具针对性。
不良反应与禁忌
两者常见不良反应均为胃肠道反应(恶心、腹泻、呕吐等),且均禁用于甲状腺髓样癌病史、家族史、2型多发性内分泌肿瘤综合征(MEN2)患者。
索马鲁肽因药效更强、剂量更高,胃肠道反应的发生率在用药初期略高于利拉鲁肽,但随用药时间延长,两者不良反应均会逐渐缓解;利拉鲁肽每日注射的局部反应发生率略高于索马鲁肽每周注射剂型。
相关新闻资讯