图谱信息 供应商 相关产品
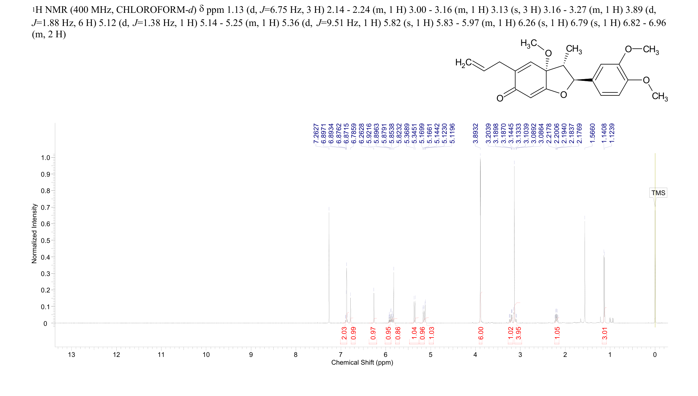
网站主页CAS数据库列表 87402-88-8更多图谱(-)-白玉兰亭 B(87402-88-8)核磁图(1HNMR)

(-)-白玉兰亭 B

产品名称 (-)-白玉兰亭 B

CAS号87402-88-8

分子式C21H24O5

分子量356.41