图谱信息 供应商 相关产品
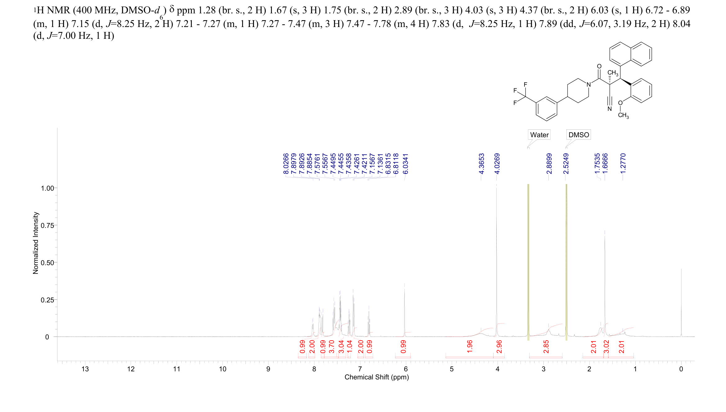
网站主页CAS数据库列表 796854-35-8更多图谱796854-35-8(796854-35-8)核磁图(1HNMR)

796854-35-8

产品名称 796854-35-8

CAS号796854-35-8

分子式C34H31F3N2O2

分子量556.63