网站主页CAS数据库列表
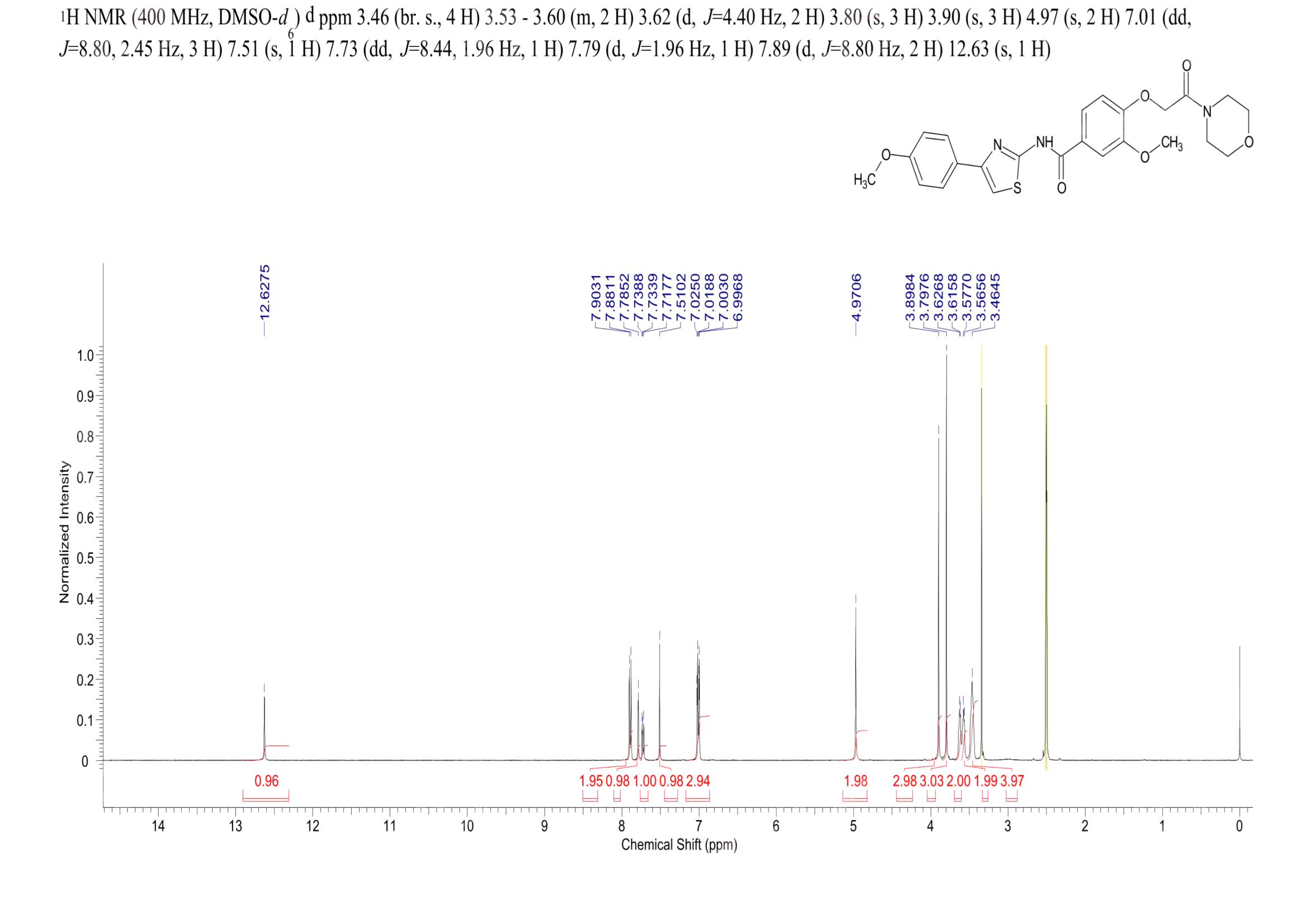
781628-99-7更多图谱Benzamide, 3-methoxy-N-[4-(4-methoxyphenyl)-2-thiazolyl]-4-[2-(4-morpholinyl)-2-oxoethoxy]-(781628-99-7)核磁图(1HNMR)
Benzamide, 3-methoxy-N-[4-(4-methoxyphenyl)-2-thiazolyl]-4-[2-(4-morpholinyl)-2-oxoethoxy]-
产品名称 Benzamide, 3-methoxy-N-[4-(4-methoxyphenyl)-2-thiazolyl]-4-[2-(4-morpholinyl)-2-oxoethoxy]-
CAS号781628-99-7
分子式C24H25N3O6S
分子量483.54

