图谱信息
供应商
相关产品
首页
个人中心
委托采购
采购清单
网站主页
CAS数据库列表
7431-77-8更多图谱
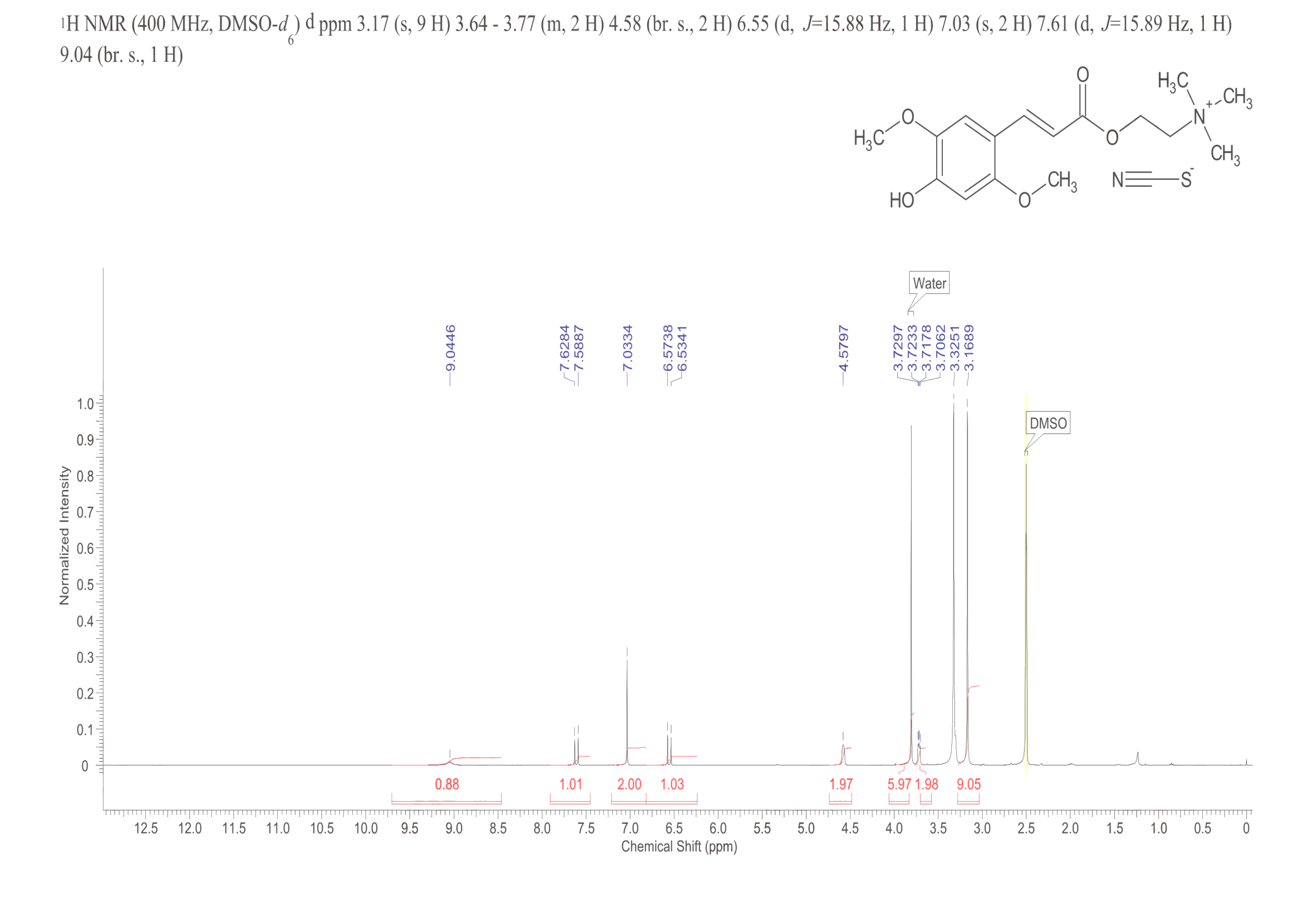
芥子碱硫氰酸盐(7431-77-8)核磁图(
1
HNMR)
芥子碱硫氰酸盐
产品名称
芥子碱硫氰酸盐
CAS号
7431-77-8
分子式
C17H24N2O5S
分子量
368.45
1
HNMR
更多供应商
上海佰世凯化学科技有限公司
上海如吉生物科技发展有限公司
成都普菲德生物技术有限公司
成都锦然生物科技有限公司
上海倍卓生物科技有限公司
上海将来实业股份有限公司
上海卓因生物科技有限公司
上海永叶生物科技有限公司
EMMX Biotechnology LLC
上海澄绍生物科技有限公司
芥子碱硫氰酸盐(7431-77-8)核磁图(
1
HNMR) 相关产品图谱
阿拉伯胶(9000-01-5)Raman光谱
阿拉伯胶(9000-01-5)红外图谱(IR)
橙黄决明素(67979-25-3)质谱(MS)
橙黄决明素(67979-25-3)核磁图(
1
HNMR)
汉黄芩素(632-85-9)质谱(MS)
汉黄芩素(632-85-9)红外图谱(IR1)
汉黄芩素(632-85-9)红外图谱(IR2)
汉黄芩素(632-85-9)核磁图(
1
HNMR)
白花前胡甲素(73069-25-7)核磁图(
1
HNMR)
石杉碱甲(102518-79-6)核磁图(
1
HNMR)
石杉碱甲(102518-79-6)核磁图(
13
CNMR)
蔓荆子黄素(479-91-4)核磁图(
1
HNMR)
鲑降钙素(47931-85-1)质谱(MS)
硫氰酸钠(540-72-7)红外图谱(IR)
硫代异氰酸苯酯(103-72-0)核磁图(
13
CNMR)
硫代异氰酸苯酯(103-72-0)核磁图(
1
HNMR)
硫代异氰酸苯酯(103-72-0)质谱(MS)
硫代异氰酸苯酯(103-72-0)红外图谱(IR1)
展开
收起
MSDS
|
CAS
|
常用CAS
|
化工产品目录
|
新产品
联系我们
|
电脑版
Chemical Book