图谱信息
供应商
相关产品
首页
个人中心
委托采购
采购清单
网站主页
CAS数据库列表
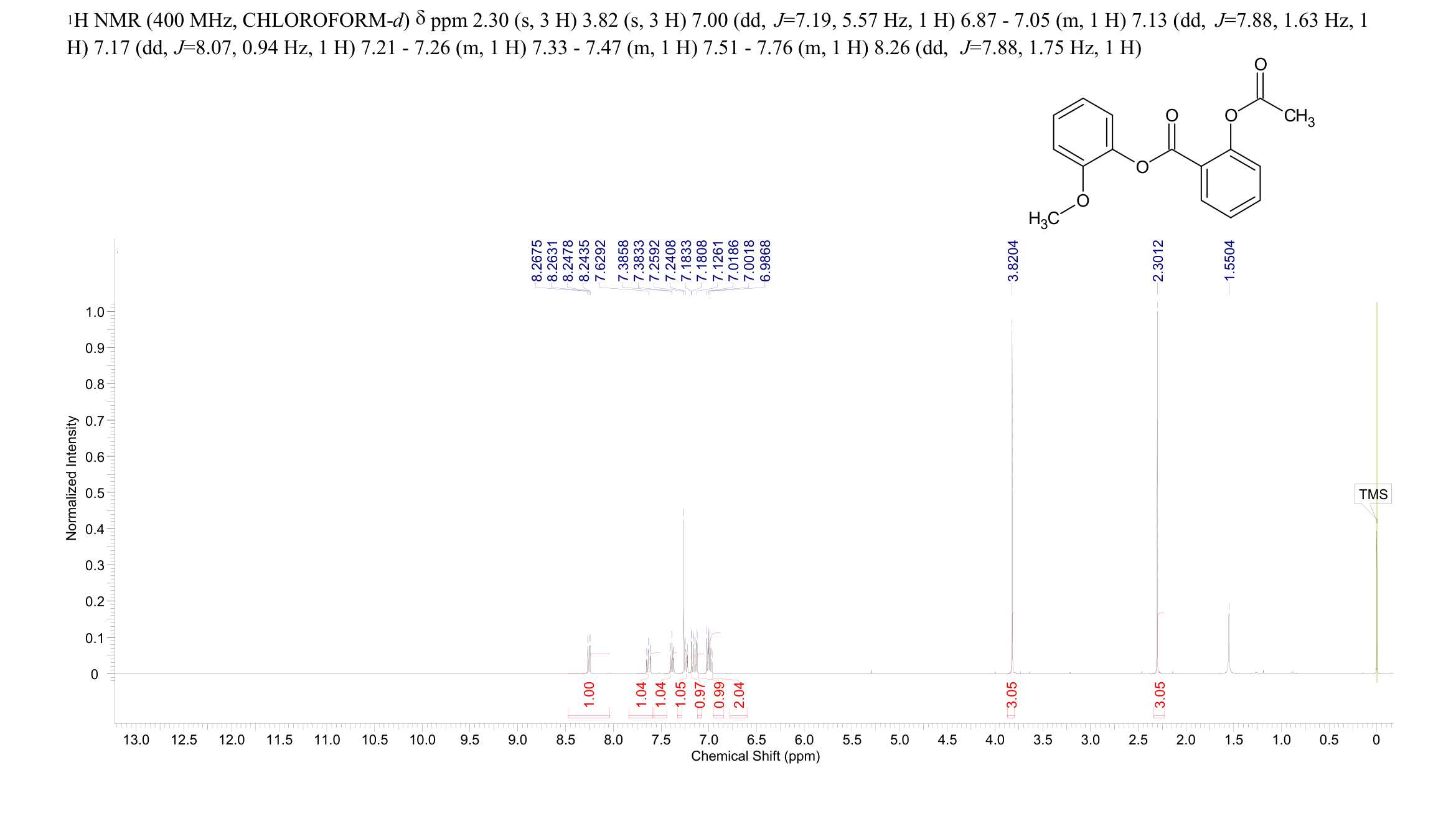
55482-89-8更多图谱
呱西替柳(55482-89-8)核磁图(
1
HNMR)
呱西替柳
产品名称
呱西替柳
CAS号
55482-89-8
分子式
C16H14O5
分子量
286.28
1
HNMR
更多供应商
吉林金恒制药股份有限公司
黄金产品
LGM Pharma
MedChemexpress LLC
杭州枫林化工有限公司
上海书亚医药科技有限公司
深圳市丽晶生化科技有限公司
ATK CHEMICAL COMPANY LIMITED
南京克罗托鲁宁医药科技有限公司
上海凯裕医药科技有限公司
Alchem Pharmtech,Inc.
呱西替柳(55482-89-8)核磁图(
1
HNMR) 相关产品图谱
呱西替柳(55482-89-8)核磁图(
1
HNMR)
乙酰水杨酸甲酯(580-02-9)核磁图(
1
HNMR)
乙酰水杨酸甲酯(580-02-9)核磁图(
13
CNMR)
乙酰水杨酸甲酯(580-02-9)Raman光谱
乙酰水杨酸甲酯(580-02-9)质谱(MS)
乙酰水杨酸甲酯(580-02-9)红外图谱(IR1)
乙酰水杨酸甲酯(580-02-9)红外图谱(IR2)
乙酰水杨酸(50-78-2)Raman光谱
乙酰水杨酸(50-78-2)核磁图(
1
HNMR)
乙酰水杨酸(50-78-2)质谱(MS)
乙酰水杨酸(50-78-2)核磁图(
13
CNMR)
乙酰水杨酸(50-78-2)红外图谱(IR1)
乙酰水杨酸(50-78-2)红外图谱(IR2)
水杨酸苯酯(118-55-8)质谱(MS)
水杨酸苯酯(118-55-8)Raman光谱
水杨酸苯酯(118-55-8)核磁图(
1
HNMR)
水杨酸苯酯(118-55-8)核磁图(
13
CNMR)
水杨酸苯酯(118-55-8)红外图谱(IR2)
展开
收起
MSDS
|
CAS
|
常用CAS
|
化工产品目录
|
新产品
联系我们
|
电脑版
Chemical Book