图谱信息 供应商 相关产品
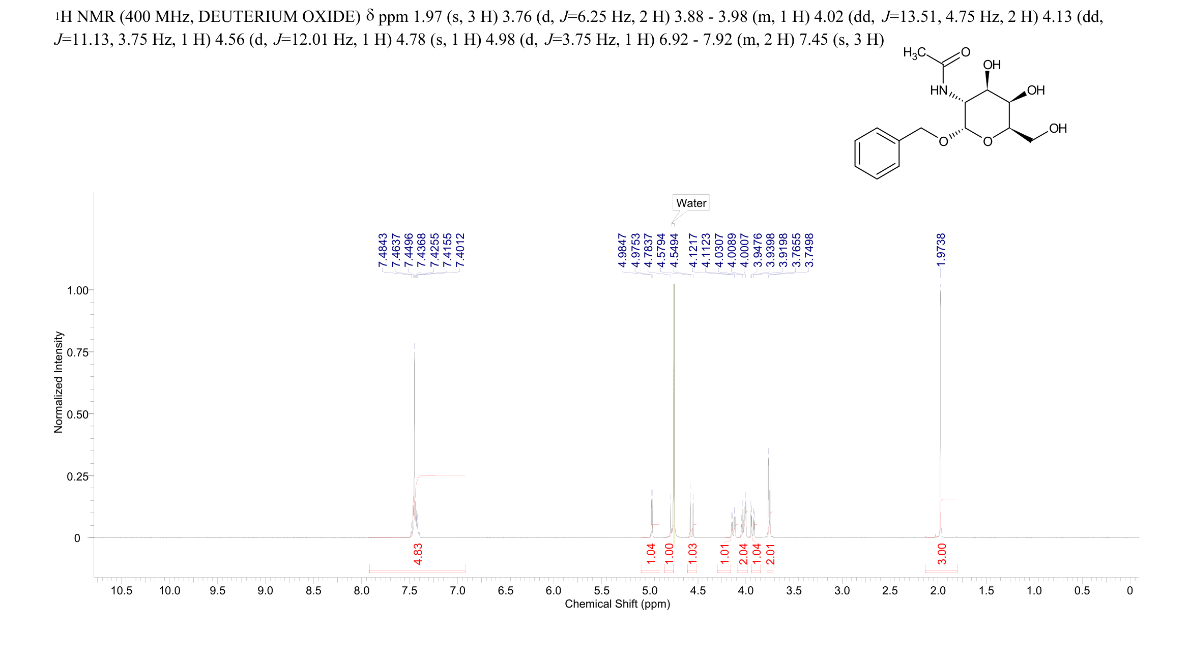
网站主页CAS数据库列表 3554-93-6更多图谱苄基-2-乙酰胺基-2-脱氧-Α-D-吡喃半乳糖苷(3554-93-6)核磁图(1HNMR)

苄基-2-乙酰胺基-2-脱氧-Α-D-吡喃半乳糖苷

产品名称 苄基-2-乙酰胺基-2-脱氧-Α-D-吡喃半乳糖苷

CAS号3554-93-6

分子式C15H21NO6

分子量311.33