图谱信息
供应商
相关产品
首页
个人中心
委托采购
采购清单
网站主页
CAS数据库列表
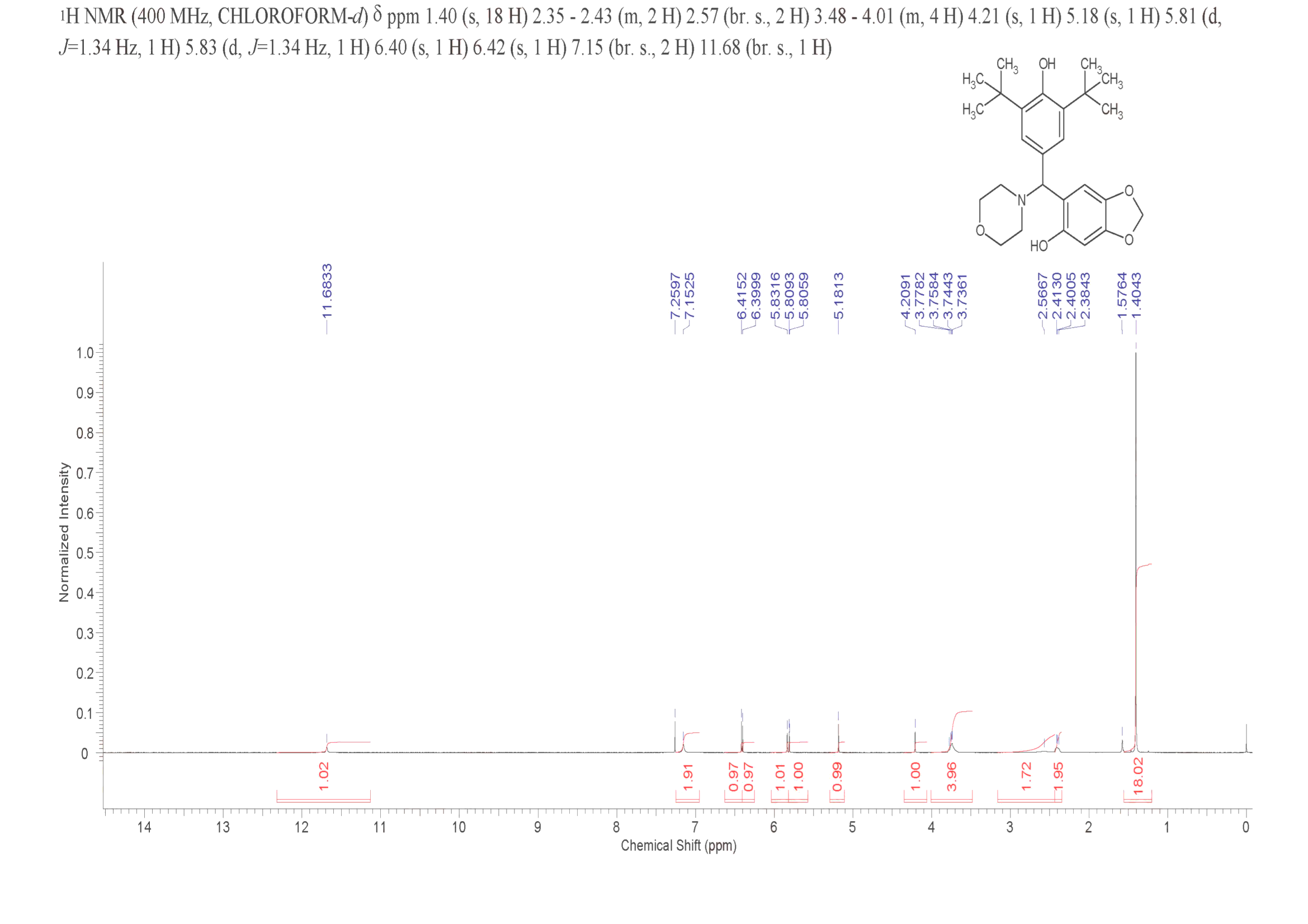
299420-83-0更多图谱
化合物UC-514321(299420-83-0)核磁图(
1
HNMR)
化合物UC-514321
产品名称
化合物UC-514321
CAS号
299420-83-0
分子式
C26H35NO5
分子量
441.56
1
HNMR
更多供应商
ATK CHEMICAL COMPANY LIMITED
上海立崎生物医学研究中心
南通全益生物科技有限公司
ChemeGen 中国
上海一飞生物科技有限公司
南京世洲生物科技有限公司
成都超九八生物科技有限公司
Nantong HI-FUTURE Biology Co., Ltd.
銳迪國際科技有限公司
深圳市星跃生物科技有限公司
MSDS
|
CAS
|
常用CAS
|
化工产品目录
|
新产品
联系我们
|
电脑版
Chemical Book