图谱信息
供应商
相关产品
首页
个人中心
委托采购
采购清单
网站主页
CAS数据库列表
2463198-51-6更多图谱
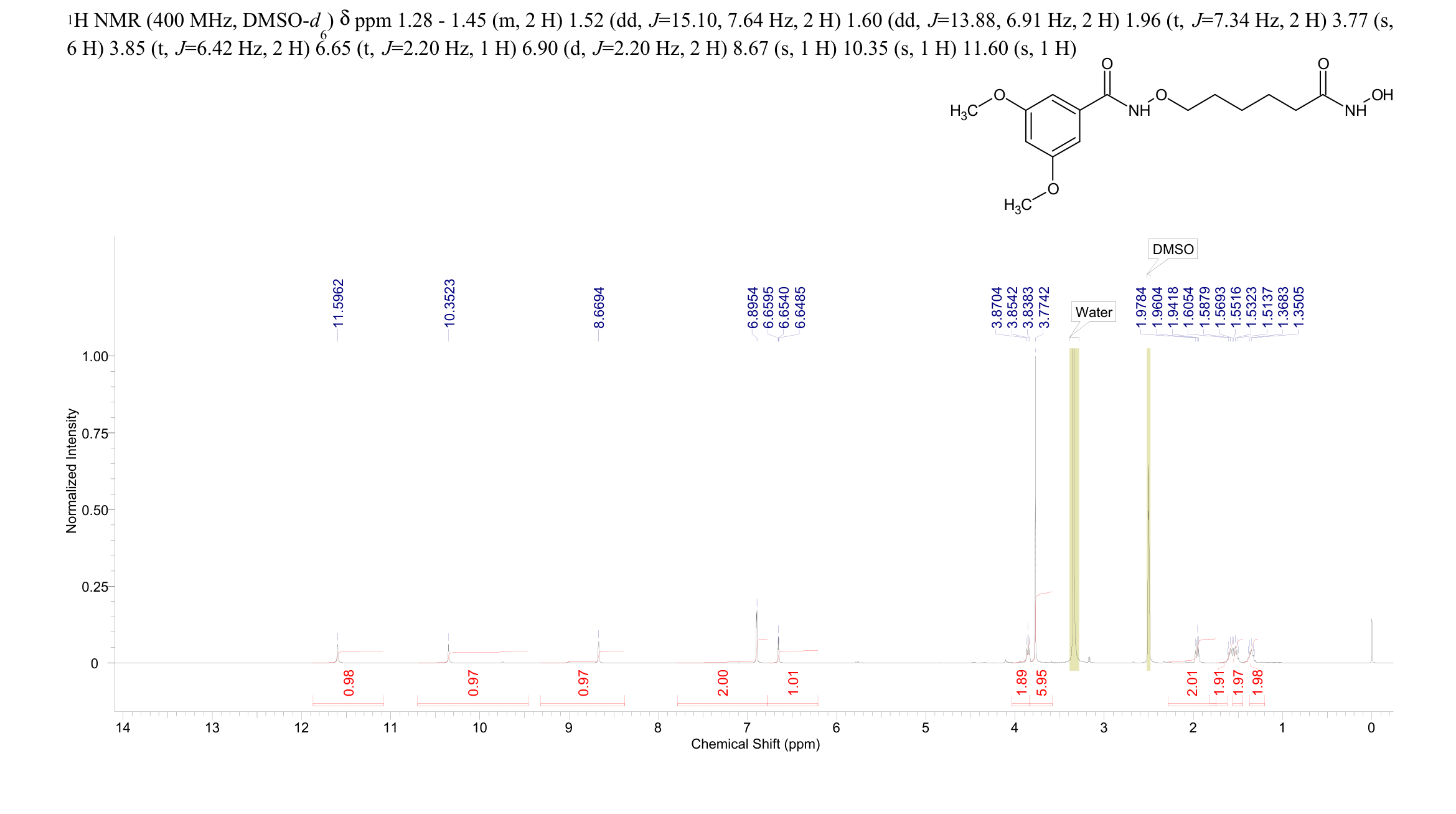
化合物HDAC-IN-40(2463198-51-6)核磁图(
1
HNMR)
化合物HDAC-IN-40
产品名称
化合物HDAC-IN-40
CAS号
2463198-51-6
分子式
C15H22N2O6
分子量
326.35
1
HNMR
更多供应商
上海楼岚生物科技有限公司
上海立崎生物医学研究中心
南通全益生物科技有限公司
上海瀚鸿科技股份有限公司
上海一飞生物科技有限公司
泰兴市海川生物科技有限公司
Nantong HI-FUTURE Biology Co., Ltd.
生工生物工程(上海)股份有限公司
銳迪國際科技有限公司
上海陶术生物科技股份有限公司
MSDS
|
CAS
|
常用CAS
|
化工产品目录
|
新产品
联系我们
|
电脑版
Chemical Book