网站主页CAS数据库列表
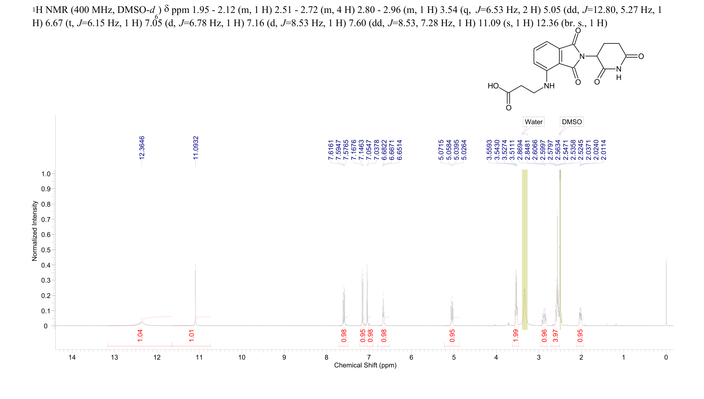
2225940-46-3更多图谱β-Alanine, N-[2-(2,6-dioxo-3-piperidinyl)-2,3-dihydro-1,3-dioxo-1H-isoindol-4-yl]-(2225940-46-3)核磁图(1HNMR)
β-Alanine, N-[2-(2,6-dioxo-3-piperidinyl)-2,3-dihydro-1,3-dioxo-1H-isoindol-4-yl]-
产品名称 β-Alanine, N-[2-(2,6-dioxo-3-piperidinyl)-2,3-dihydro-1,3-dioxo-1H-isoindol-4-yl]-
CAS号2225940-46-3
分子式C16H15N3O6
分子量345.31
更多供应商

