图谱信息 供应商 相关产品
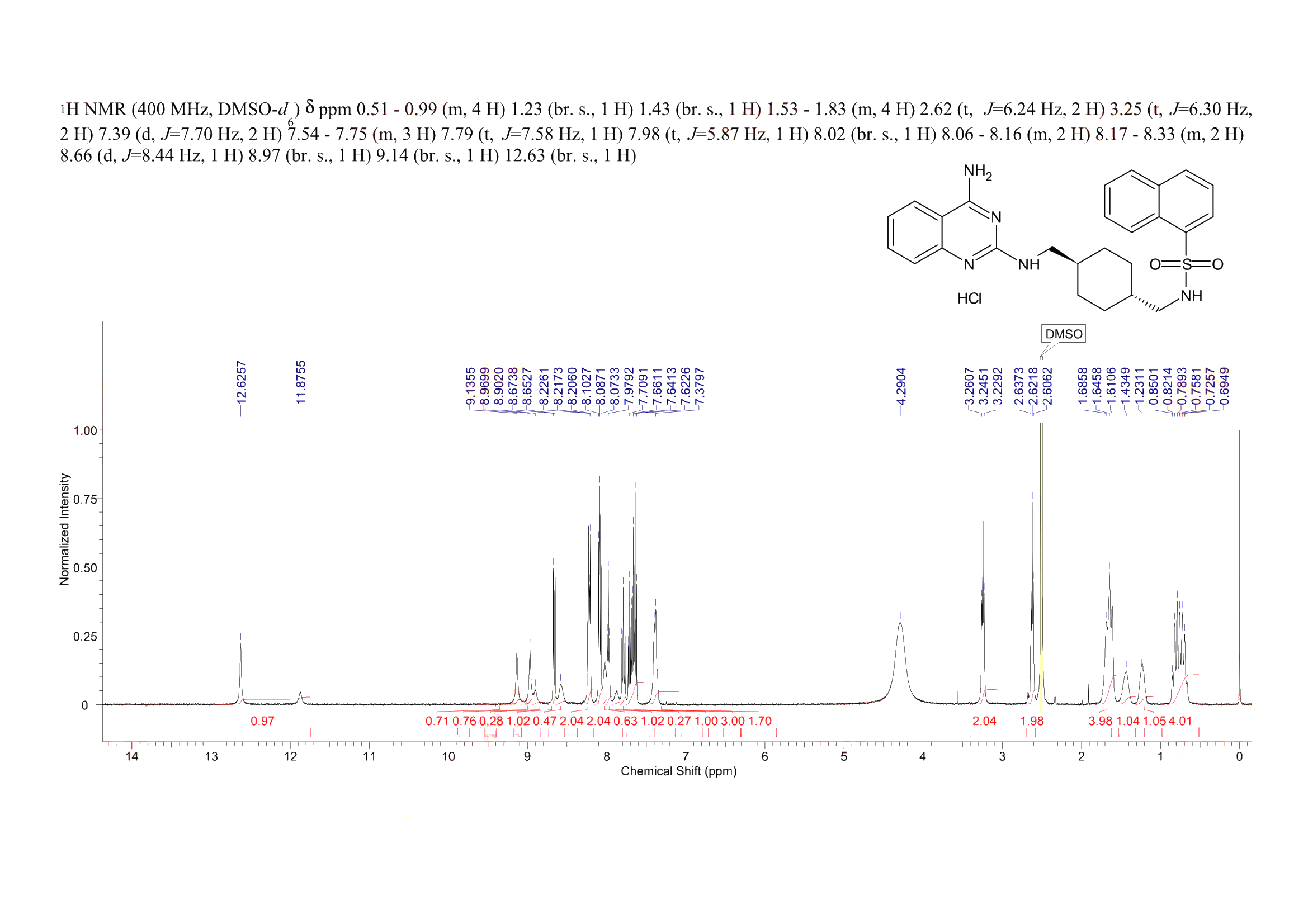
网站主页CAS数据库列表 192322-50-2更多图谱N-[[反式-4-[[(4-氨基-2-喹唑啉基)氨基]甲基]环己基]甲基]-1-萘磺酰胺盐酸盐(192322-50-2)核磁图(1HNMR)

N-[[反式-4-[[(4-氨基-2-喹唑啉基)氨基]甲基]环己基]甲基]-1-萘磺酰胺盐酸盐

产品名称 N-[[反式-4-[[(4-氨基-2-喹唑啉基)氨基]甲基]环己基]甲基]-1-萘磺酰胺盐酸盐

CAS号192322-50-2

分子式C26H30ClN5O2S

分子量512.07

N-[[反式-4-[[(4-氨基-2-喹唑啉基)氨基]甲基]环己基]甲基]-1-萘磺酰胺盐酸盐(192322-50-2)核磁图(1HNMR) 相关产品图谱