图谱信息
供应商
相关产品
首页
个人中心
委托采购
采购清单
网站主页
CAS数据库列表
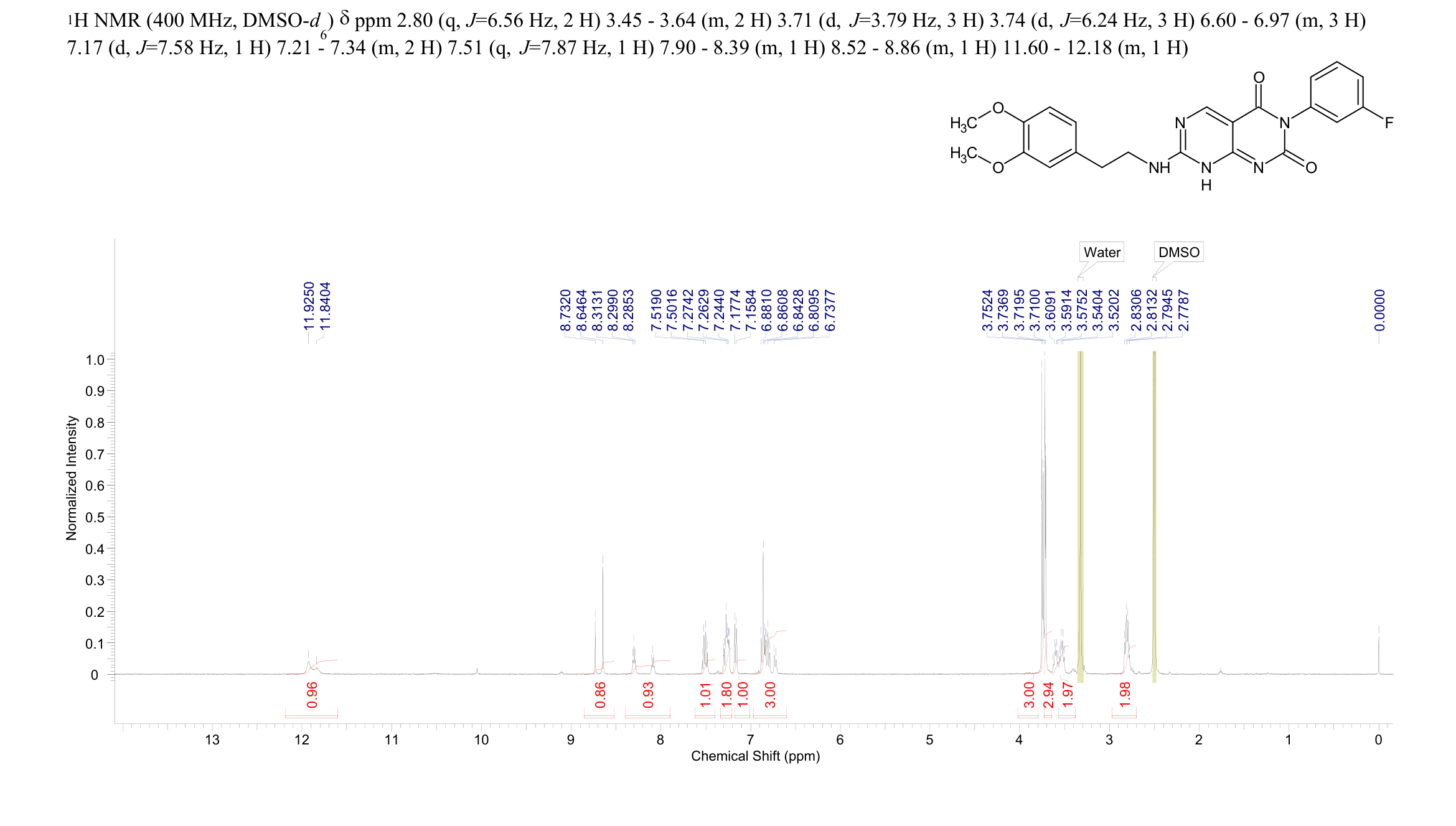
1326852-06-5更多图谱
化合物STL127705(1326852-06-5)核磁图(
1
HNMR)
化合物STL127705
产品名称
化合物STL127705
CAS号
1326852-06-5
分子式
C22H20FN5O4
分子量
437.42
1
HNMR
更多供应商
范德(北京)生物科技有限责任公司
济南九黎生物科技有限公司
ChemeGen 中国
上海一飞生物科技有限公司
上海陶术生物科技股份有限公司
佛山合硕医药科技有限公司
南京世洲生物科技有限公司
上海弘渠生物医药科技有限公司
銳迪國際科技有限公司
上海陶术生物科技股份有限公司
MSDS
|
CAS
|
常用CAS
|
化工产品目录
|
新产品
联系我们
|
电脑版
Chemical Book