图谱信息
供应商
相关产品
首页
个人中心
委托采购
采购清单
网站主页
CAS数据库列表
116308-55-5更多图谱
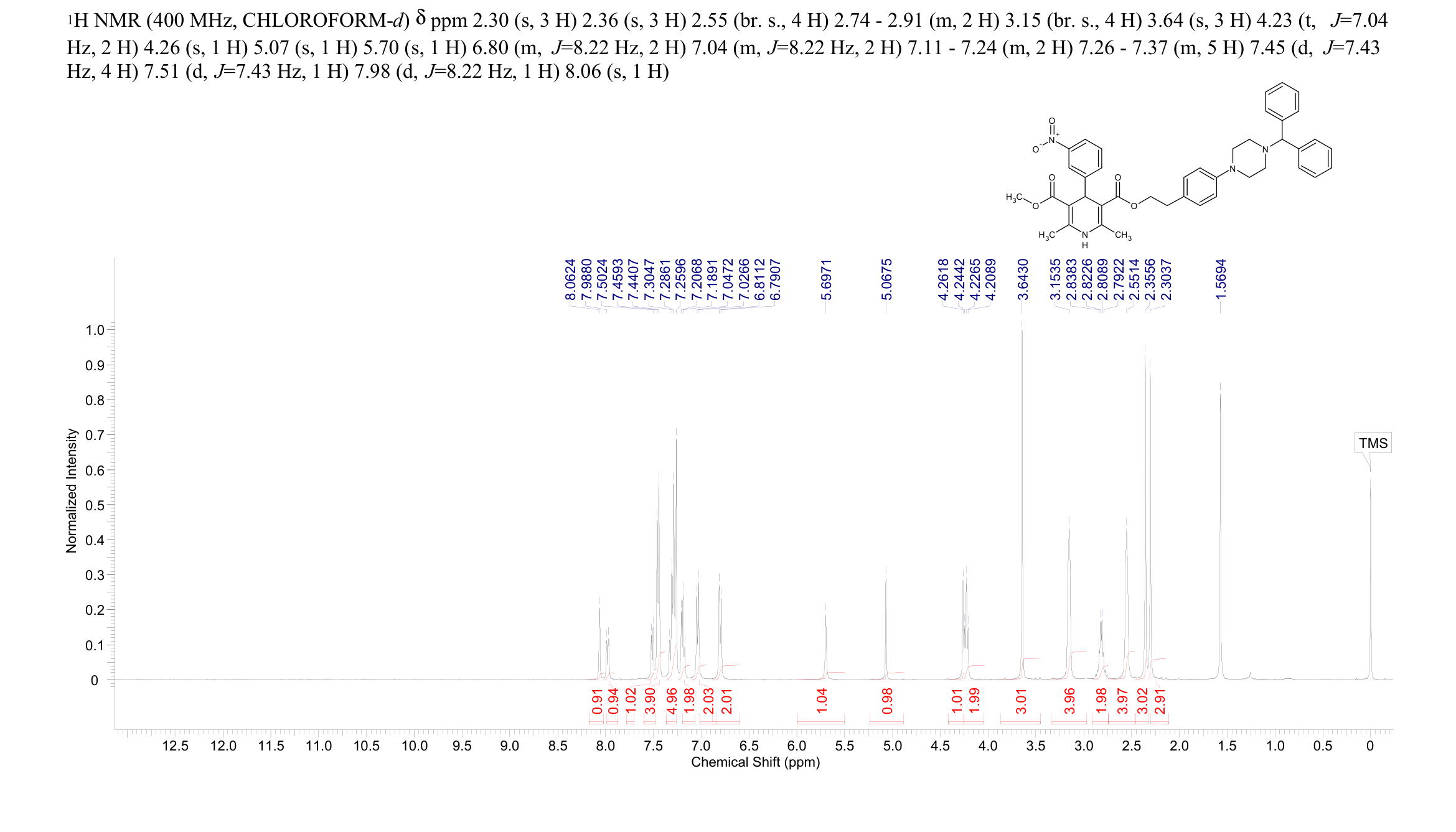
伐尼地平(116308-55-5)核磁图(
1
HNMR)
伐尼地平
产品名称
伐尼地平
CAS号
116308-55-5
分子式
C41H42N4O6
分子量
686.805
1
HNMR
更多供应商
career henan chemical co
上海一飞生物科技有限公司
杭州摩库生物医药科技有限公司
生工生物工程(上海)股份有限公司
上海陶术生物科技股份有限公司
伐尼地平(116308-55-5)核磁图(
1
HNMR) 相关产品图谱
异戊酸苯乙酯(140-26-1)核磁图(
1
HNMR)
伐尼地平(116308-55-5)核磁图(
1
HNMR)
2-苯基乙基丙烯酸酯(3530-36-7)核磁图(
1
HNMR)
MSDS
|
CAS
|
常用CAS
|
化工产品目录
|
新产品
联系我们
|
电脑版
Chemical Book