SpectrumDetail
Supplier
Related Products
Home
WebSite
>
CAS DataBase List
>
943540-74-7More Spectrum
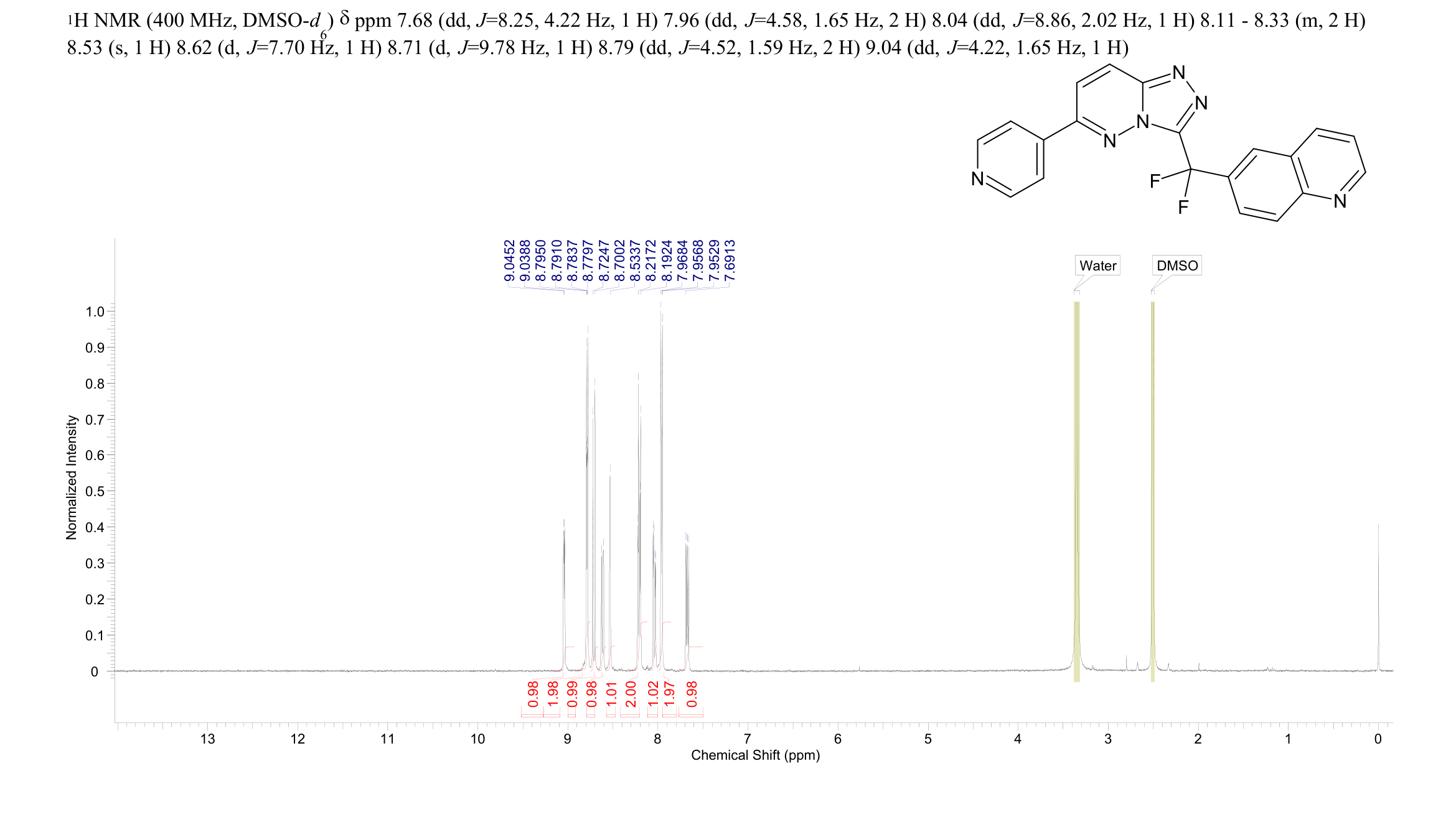
> JNJ-38877605(943540-74-7)
1
HNMR
JNJ-38877605
Product Name
JNJ-38877605
CAS
943540-74-7
MF
C20H12F2N6
MW
374.35
1
HNMR
More Suppliers
ATK CHEMICAL COMPANY LIMITED
InvivoChem
Wuhan Topule Biopharmaceutical Co., Ltd
Chemtour Biotech Co., Ltd
Zibo Hangyu Biotechnology Development Co., Ltd
Aladdin Scientific
Zhejiang J&C Biological Technology Co.,Limited
Home
My
MSDS
|
CAS
|
CAS DataBase
|
Pricacy
|
Terms
|
About Us
|
New Products
|
Contact us
|
Computer Version
Chemical Book