WebSite > CAS DataBase List >
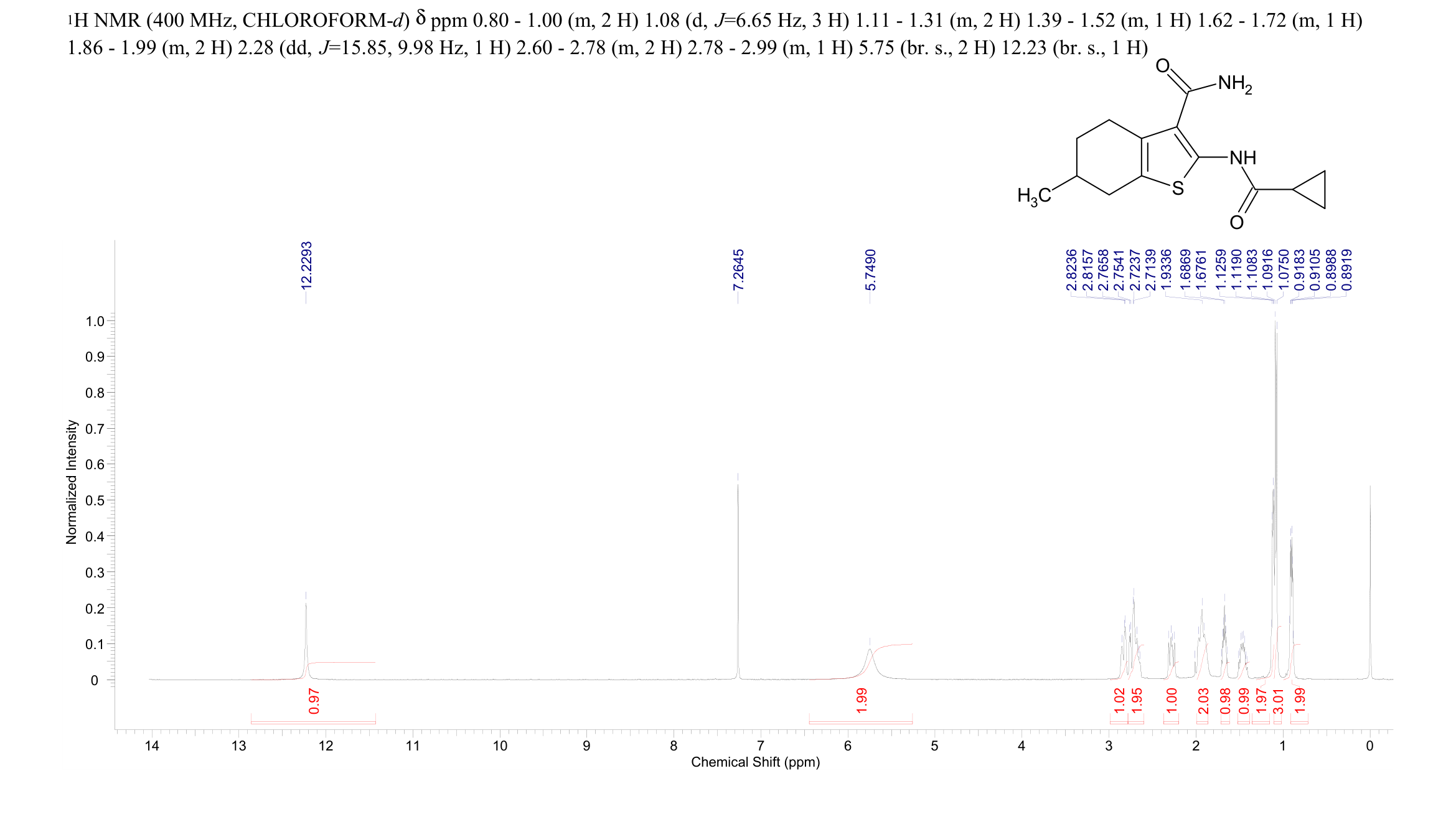
354544-70-0More Spectrum > 2-[(cyclopropylcarbonyl)amino]-6-methyl-4,5,6,7-tetrahydro-1-benzothiophene-3-carboxamide(354544-70-0)1HNMR
2-[(cyclopropylcarbonyl)amino]-6-methyl-4,5,6,7-tetrahydro-1-benzothiophene-3-carboxamide
Product Name 2-[(cyclopropylcarbonyl)amino]-6-methyl-4,5,6,7-tetrahydro-1-benzothiophene-3-carboxamide
CAS354544-70-0
MFC14H18N2O2S
MW278.36992

