WebSite > CAS DataBase List >
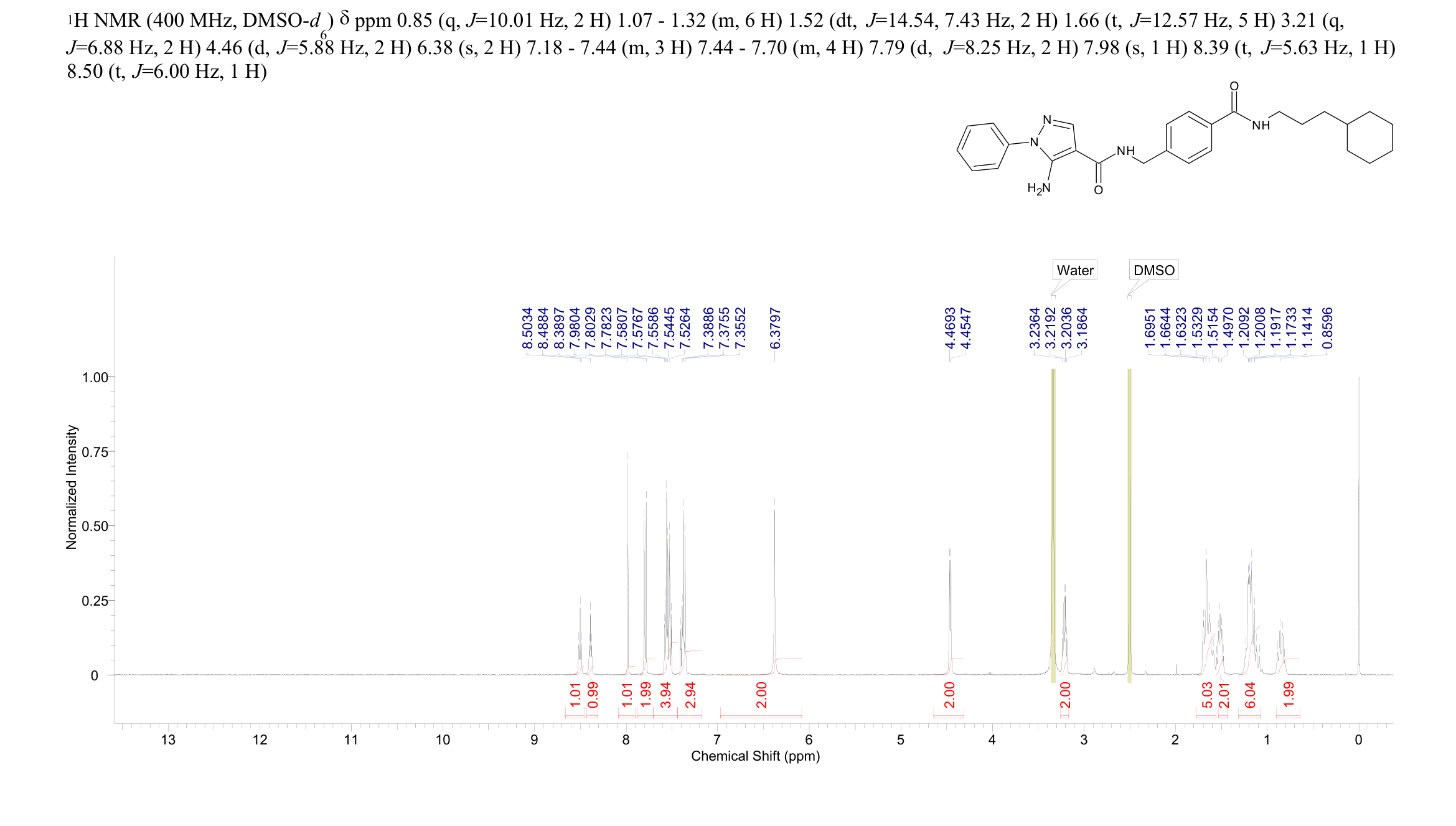
2413286-32-3More Spectrum > 1H-Pyrazole-4-carboxamide, 5-amino-N-[[4-[[(3-cyclohexylpropyl)amino]carbonyl]phenyl]methyl]-1-phenyl-(2413286-32-3)1HNMR
1H-Pyrazole-4-carboxamide, 5-amino-N-[[4-[[(3-cyclohexylpropyl)amino]carbonyl]phenyl]methyl]-1-phenyl-
Product Name 1H-Pyrazole-4-carboxamide, 5-amino-N-[[4-[[(3-cyclohexylpropyl)amino]carbonyl]phenyl]methyl]-1-phenyl-
CAS2413286-32-3
MFC27H33N5O2
MW459.58

