SpectrumDetail Supplier Related Products
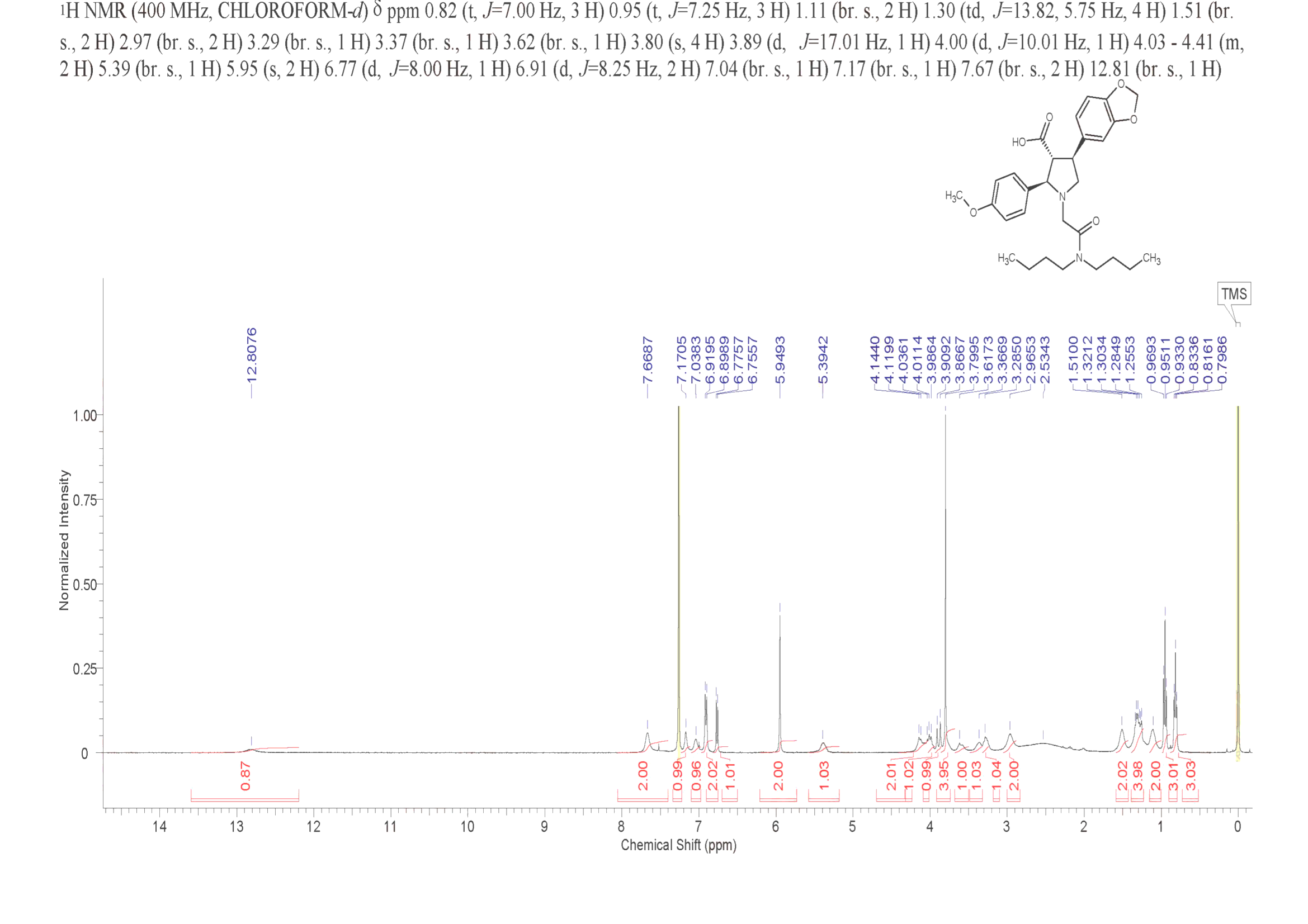
WebSite > CAS DataBase List >  173937-91-2More Spectrum > atrasentan(173937-91-2)1HNMR

173937-91-2

atrasentan

Product Name atrasentan

CAS173937-91-2

MFC29H38N2O6

MW510.62