SpectrumDetail Supplier Related Products
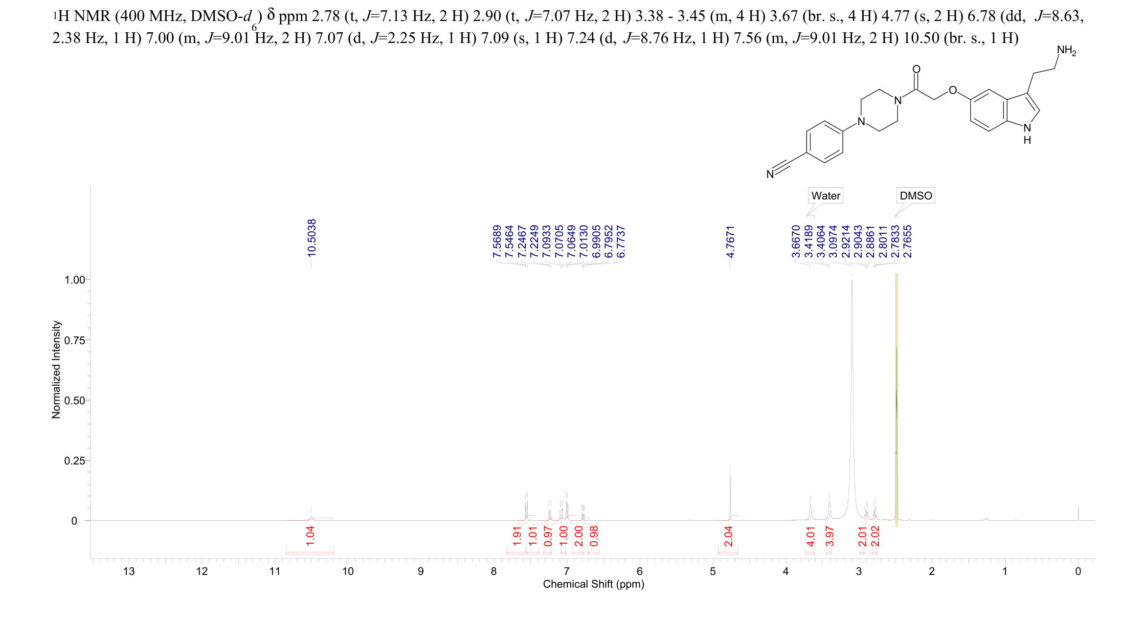
WebSite > CAS DataBase List >  170912-52-4More Spectrum > DONITRIPTAN(170912-52-4)1HNMR

170912-52-4

DONITRIPTAN

Product Name DONITRIPTAN

CAS170912-52-4

MFC23H25N5O2

MW403.48

DONITRIPTAN(170912-52-4)1HNMR Atlas of Related Products