SpectrumDetail
Supplier
Related Products
Home
WebSite
>
CAS DataBase List
>
1258417-54-7More Spectrum
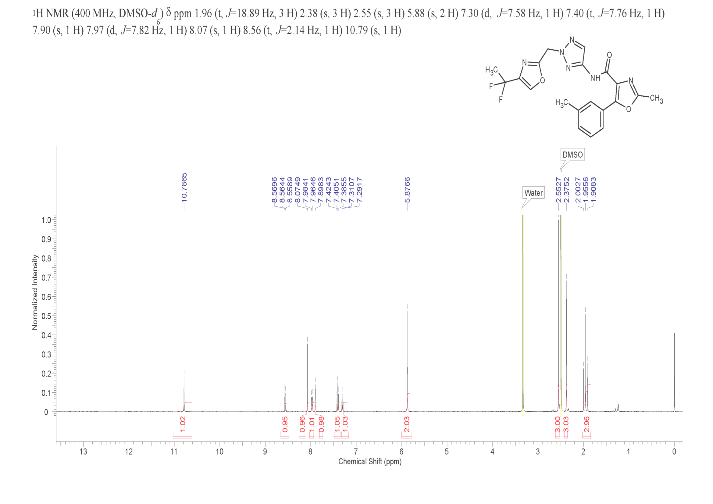
> ACT-389949 (ACT389949)(1258417-54-7)
1
HNMR
ACT-389949 (ACT389949)
Product Name
ACT-389949 (ACT389949)
CAS
1258417-54-7
MF
C20H18F2N6O3
MW
428.39
1
HNMR
More Suppliers
Aladdin Scientific
Home
My
MSDS
|
CAS
|
CAS DataBase
|
Pricacy
|
Terms
|
About Us
|
New Products
|
Contact us
|
Computer Version
Chemical Book