SpectrumDetail Supplier Related Products
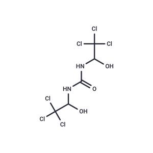
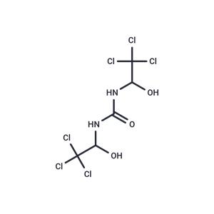
WebSite > CAS DataBase List >  116-52-9More Spectrum > DCU(116-52-9)1HNMR

116-52-9

DCU

Product Name DCU

CAS116-52-9

MFC5H6Cl6N2O3

MW354.83