网站主页 > 1-(2,3-二氯苯基)哌嗪 > 新闻信息汇总
1-(2,3-二氯苯基)哌嗪新闻专题
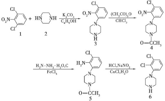
1-(2,3-二氯苯基)哌嗪的合成及其工艺研究
1-(2,3-二氯苯基)哌嗪是重要的医药中间体,更是合成调节神经类药物的关键原料。可以通过多卤代苯胺与二乙醇胺缩合环化,或由多卤代溴苯与哌嗪缩合得到。
2025-11-25
推荐新闻
5-甲基-3,4-二苯基异噁唑的合成
2025/11/26
布瓦西坦中间体1的合成关键性突破
2025/11/26
2,5-二甲氧基-2,5-二氢呋喃的合成与应用
2025/11/26
中间体5-(2-溴乙基)-2,3-二氢苯并呋喃的简便合成方法
2025/11/26
1,5,6,7-四氢-4H-吲哚-4-酮的制备及应用
2025/11/26
哌嗪(六水)的应用及含量测定
2025/11/26
最新发布
苯酐的理化性质及应用
2025/11/26
苯甲醛的市场规模与增长动能
2025/11/26
丙二醇的生产工艺和未来行情
2025/11/26
聚对苯二甲酸-己二酸丁二醇酯 (PBAT树脂)的改性
2025/11/26
5-甲基-3,4-二苯基异噁唑的合成
2025/11/26
布瓦西坦中间体1的合成关键性突破
2025/11/26