基本信息 产品详情 公司简介 推荐产品
网站主页 N-((1r,3r)-3-(4-cyano-3-methoxyphenoxy)-2,2,4,4-tetramethylcyclobutyl)-2-(2-(4-((R)-2,3,9-trimethyl-6-(oxazol-2-ylmethyl)-6H-thieno[3,2-f][1,2,4]triazolo[4,3-a] N-((1r,3r)-3-(4-cyano-3-methoxyphenoxy)-2,2,4,4-tetramethylcyclobutyl)-2-(2-(4-((R)-2,3,9-trimethyl-6-(oxazol-2-ylmethyl)-6H-thieno[3,2-f][1,2,4]triazolo[4,3-a]
  • Halda Therapeutics RIPTAC? HLD-0915
  • Halda Therapeutics RIPTAC? HLD-0915
  • Halda Therapeutics RIPTAC? HLD-0915

1/3

Halda Therapeutics RIPTAC? HLD-0915

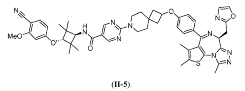
N-((1r,3r)-3-(4-cyano-3-methoxyphenoxy)-2,2,4,4-tetramethylcyclobutyl)-2-(2-(4-((R)-2,3,9-trimethyl-6-(oxazol-2-ylmethyl)-6H-thieno[3,2-f][1,2,4]triazolo[4,3-a][1,4]diazepin-4-yl)phenoxy)-7-azaspiro[3.5]nonan-7-yl)pyrimidine-5-carboxamide
询价 10mg 起订
100mg 起订
500mg 起订
上海 更新日期:2025-12-17

上海药砌源生物科技有限公司

VIP1年
联系人:张经理
电话:021-15026428026拨打
手机:15026428026 拨打
邮箱:ChemOrigin@126.com

产品详情:

中文名称:
N-((1r,3r)-3-(4-cyano-3-methoxyphenoxy)-2,2,4,4-tetramethylcyclobutyl)-2-(2-(4-((R)-2,3,9-trimethyl-6-(oxazol-2-ylmethyl)-6H-thieno[3,2-f][1,2,4]triazolo[4,3-a]
英文名称:
N-((1r,3r)-3-(4-cyano-3-methoxyphenoxy)-2,2,4,4-tetramethylcyclobutyl)-2-(2-(4-((R)-2,3,9-trimethyl-6-(oxazol-2-ylmethyl)-6H-thieno[3,2-f][1,2,4]triazolo[4,3-a][1,4]diazepin-4-yl)phenoxy)-7-azaspiro[3.5]nonan-7-yl)pyrimidine-5-carboxamide
CAS号:
3083308-87-3
纯度规格:
98%
产品类别:
抗肿瘤小分子

RIPTAC™诱导接近靶向嵌合体)是一种新型双功能小分子药物技术,通过将两种蛋白拉近形成复合体,特异性抑制肿瘤细胞关键功能,从而诱导其死亡‌。

技术原理

  • 作用机制:RIPTAC分子一端结合肿瘤高表达的靶蛋白(如雄激素受体AR),另一端结合维持细胞生存的关键蛋白(如BETPLK1等),形成复合体后抑制关键蛋白活性,导致肿瘤细胞凋亡。 ‌

  • 选择性:正常细胞因缺乏肿瘤特异性蛋白,不会形成复合体,因此安全性较高。 ‌

领域进展

  • 首个进入临床的RIPTAC分子:

    Halda Therapeutics的HH-0915(HLD-0915)已启动针对前列腺癌的临床试验,初步数据显示59%患者达到
  • PSA50(前列腺特异性抗原下降50%)。 ‌技术优势:相比PROTAC(靶向蛋白降解),RIPTAC无需依赖泛素化过程,可靶向胞内蛋白,且可能更易口服。 ‌


企业动态

  • 强生收购Halda:2025年11月以30.5亿美元现金收购Halda,加速RIPTAC技术布局。 ‌
  • 技术起源:由Craig Crews教授(Arvinas创始人)团队开发,基于其早期PROTAC研究延伸。 ‌


潜在挑战

  • 分子量大:口服给药难度与PROTAC类似。 ‌‌4

  • 靶点开发:需验证更多肿瘤相关蛋白的适用性。


3083308-87-3;HLD-0915;导接近靶向嵌合体;RIPTAC?;Halda Therapeutics;

公司简介

上海药砌源生物科技有限公司是一家专注于医药中间体及相关产品的研发、生产、销售与定制合成服务的高新技术企业。自成立以来,公司始终秉持“信誉至上、质量第一”的经营理念,产品广泛应用于生命科学、有机化学、材料科学等多个前沿领域,业务覆盖全球市场,致力于为制药企业、生物技术公司及科研机构提供卓越的产品与定制化解决方案。作为前沿药物发现化学驱动的分子砌块和活性分子研发服务创新型企业,药砌源的研发团队自2022年起即承接各类研发项目,积累了扎实的技术基础与项目经验。2025年,公司正式注册成立,并于同年9月在南京,上海设立新品研发中心,进一步强化研发实力与市场响应能力。 药砌源以药物合成砌块与生物活性分子的研发及供应为核心,依托内部自建实验室及合作工厂,构建了高效的研发—生产一体化平台。公司配备了一系列先进研发仪器设备,并结合Reaxys、WIPO等专业数据库,建立起高效、精准的研发体系,确保技术能力持续处于行业前沿。公司的研发团队由4位具有欧美留学背景的博士科学家领衔,汇聚了一批在药物化学,有机全合成,工艺优化和结构生物学等领域经验丰富的专业人才。团队兼具深厚的学术积累与持续的创新能力,能满足小试,中试到生产放大需求,能够为客户提供坚实的技术支持与高度灵活的定制化解决方案。药砌源视质量为根本,以服务为生命。在满足客户基本需求的基础上,公司还可提供专业咨询、免费分装、免费快递服务等增值服务,致力于成为客户在药物研发与化学合成领域最值得信赖的合作伙伴。

成立日期 (1年)
注册资本 1000000
员工人数 1-10人
年营业额 ¥ 100万以内
经营模式 贸易,工厂,试剂,定制,服务
主营行业 合成材料中间体,农药中间体,其他中间体,原料药,有机合成药

N-((1r,3r)-3-(4-cyano-3-methoxyphenoxy)-2,2,4,4-tetramethylcyclobutyl)-2-(2-(4-((R)-2,3,9-trimethyl-6-(oxazol-2-ylmethyl)-6H-thieno[3,2-f][1,2,4]triazolo[4,3-a]相关厂家报价

内容声明
拨打电话 立即询价