基本信息 产品详情 公司简介 推荐产品
网站主页 正己胺修饰的脱氧胞苷六磷酸 正己胺修饰的脱氧胞苷六磷酸
  • 正己胺修饰的脱氧胞苷六磷酸
  • 正己胺修饰的脱氧胞苷六磷酸

1/2

正己胺修饰的脱氧胞苷六磷酸

NH2-Hexyl-dC6P
询价 10mg 起订
50mg 起订
100mg 起订
广东 更新日期:2025-10-22

安序源生物科技有限公司

非会员
联系人:杨经理
电话:18334792386拨打
手机:18334792386 拨打
邮箱:978301886@qq.com

产品详情:

中文名称:
正己胺修饰的脱氧胞苷六磷酸
英文名称:
NH2-Hexyl-dC6P
品牌:
安序源
产地:
天津
保存条件:
-20℃保存
纯度规格:
95%≥by LC-MS
产品类别:
分子生物学、分子诊断相关试剂

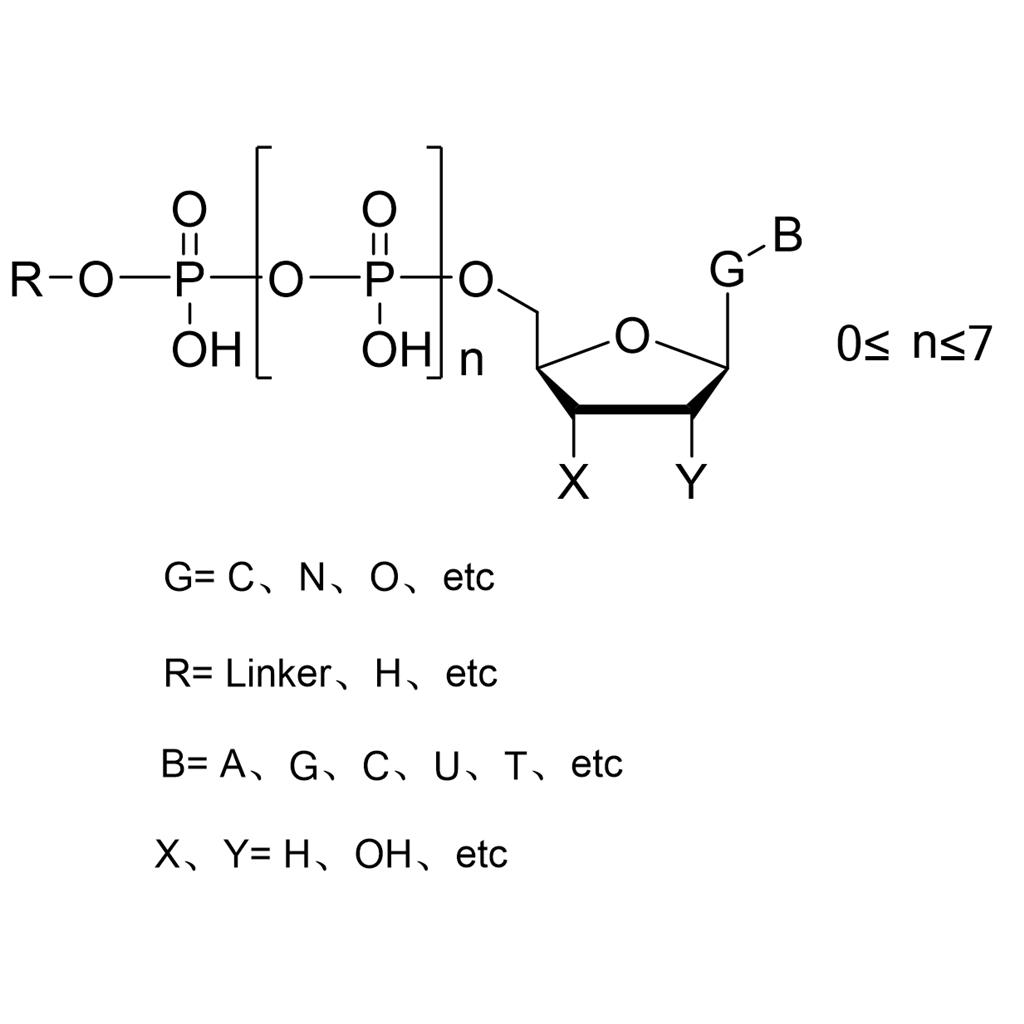
NH2-Hexyl-dC6P,常用于PCR、real-time PCR、RT-PCR、cDNA或普通DNA合成、引物延伸反应、DNA测序、DNA标记等各种常规分子生物学反应。

NH2-Hexyl-dC6P的分子式为 C15H28N4Na4O22P6,分子量为894.20(酸形式的分子量为806.27)。

本产品以冻干粉形式或溶液形式出售,可根据客户要求调整。

此类型化合物我们公司具备丰富的合成经验,可实现克级规模合成或定制合成。

产品质量以LC-MS数据为准,我们可根据客户要求实现高纯度产品制备,最高纯度可至98%或以上。

价格合理,货期一般在四周以内(根据定制合成量级货期有一定浮动)。






六磷酸;脱氧胞苷;正己氨;修饰;定制合成;

公司简介

安序源于2016年成立,是一家全球领先的生命科技集团企业,在中美两地设有研发中心,旗下子公司安序源深圳为国家高新技术企业。自成立以来,安序源致力于以半导体+合成生物+AI为核心技术并为生命科学和临床医学提供更可及的多组学研究解决方案。依托独特的Bio-CMOS芯片技术,安序源已开发出新一代纳米孔测序仪、多重核酸联检仪等产品,其中纳米孔测序仪采用顶尖的电化学传感技术、生物化学技术、化学合成技术等,突破现有测序技术的局限,实现了低成本、长读长、高精度、高通量、快速实时测序,可全面满足科研与临床在不同领域和场景下的应用需求。

成立日期 (6年)
注册资本 800万人民币
员工人数 1-10人
年营业额 ¥ 100万以内
经营模式 定制,服务
主营行业 医药中间体,合成材料中间体,染料中间体,氨基糖苷类

正己胺修饰的脱氧胞苷六磷酸相关厂家报价

内容声明
拨打电话 立即询价