基本信息 产品详情 公司简介 推荐产品
网站主页 异硫氰酸荧光素异硫氰酸酯-棕榈酸 FITC-棕榈酸
  • FITC-棕榈酸/FITC-Palmiticacid/异硫氰酸荧光素-十六烷酸(Fluorescein Isothiocyanate-Hexadecanoic Acid)/绿色荧光标记饱和脂肪酸探针/Palmitic Acid-FITC conjugate

FITC-棕榈酸/FITC-Palmiticacid/异硫氰酸荧光素-十六烷酸(Fluorescein Isothiocyanate-Hexadecanoic Acid)/绿色荧光标记饱和脂肪酸探针/Palmitic Acid-FITC conjugate

FITC-Palmiticacid
询价 5mg 起订
10mg 起订
20mg 起订
陕西 更新日期:2026-02-03

陕西星贝爱科生物科技有限责任公司

VIP1年
联系人:齐乃丽
电话:029-13572876172拨打
手机:13572876172 拨打
邮箱:1299426101@qq.com

产品详情:

中文名称:
FITC-棕榈酸
英文名称:
FITC-Palmiticacid
品牌:
Xingbieak
产地:
陕西
保存条件:
-20℃
纯度规格:
95%
产品类别:
标记物
是否进口:
用途:
科研
产品规格:
mg
别名:
异硫氰酸荧光素-十六烷酸(Fluorescein Isothiocyanate-Hexadecanoic Acid)/绿色荧光标记饱和脂肪酸探针/Palmitic Acid-FITC conjugate

FITC-棕榈酸/FITC-Palmiticacid/异硫氰酸荧光素-十六烷酸(Fluorescein Isothiocyanate-Hexadecanoic Acid)/绿色荧光标记饱和脂肪酸探针/Palmitic Acid-FITC conjugate

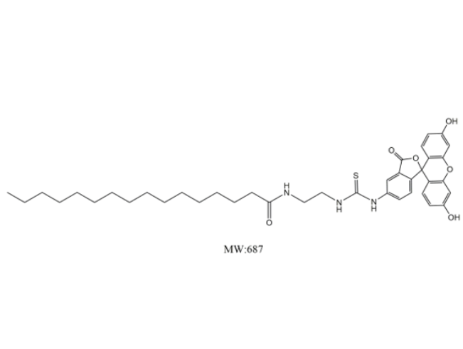
FITC-棕榈酸(FITC-Palmitic acid),也称为FITC-棕榈酸酯缀合物,是一种重要的荧光标记化合物。它由荧光染料异硫氰酸荧光素(FITC)和长链饱和脂肪酸棕榈酸通过化学键连接而成。这种结合使得该化合物既保留了FITC的荧光特性,又具备了棕榈酸的生物学特性和脂溶性,广泛应用于生物医学研究领域

🔬 基本特性

FITC-棕榈酸的核心特性源于其独特的双组分结构。FITC部分负责发出荧光,其最大激发波长通常在494-498纳米范围内,最大发射波长约为520纳米,能产生明亮的绿色荧光。棕榈酸部分则是一种天然的十六碳饱和脂肪酸,赋予整个分子良好的脂溶性和生物膜穿透能力,使其能够有效地嵌入细胞膜或脂质结构中进行示踪研究。
在物理化学性质方面,该化合物外观常为固体或粉末,纯度通常高达95%以上。它能溶于DMSO、DMF、二氯甲烷等有机溶剂,也可能溶于水。稳定性方面,建议在-20°C、干燥、避光的条件下储存,并避免频繁解冻以保持其活性和荧光强度

🧪 主要应用领域

FITC-棕榈酸在科研中应用广泛,主要包括以下几个方向:

细胞成像与膜研究:利用其荧光和脂溶性,FITC-棕榈酸可用于标记细胞膜,通过荧光显微镜直接观察细胞形态、结构以及膜的动态变化,如脂筏的分布。
  • 脂质代谢研究:由于棕榈酸是生物体内常见的脂肪酸,参与能量代谢和信号转导,用FITC标记后,研究人员可以实时追踪脂肪酸在细胞内的摄取、转运、代谢过程,这对于研究肥胖、脂肪肝等代谢性疾病具有重要意义
  • 药物递送系统研究:该化合物可作为模型脂质分子,用于构建和评估脂质体或纳米颗粒等药物载体的靶向性、包封效率及释放行为。
  • 蛋白质相互作用与生物分子标记:FITC-棕榈酸可用于标记特定蛋白质,帮助研究蛋白质在细胞内的分布、动态变化以及与其他分子的相互作用。


⚠️ 使用与储存注意事项

为了确保实验结果的可靠性和化合物的有效性,使用时需注意以下几点:

储存条件:必须长期在-20°C或更低的温度下避光、防潮保存。
操作规范:实验操作应在避光或弱光环境下进行,以减少荧光淬灭。需选择合适的溶剂(如DMSO)配制工作液,并优化使用浓度,以避免非特异性结合或细胞毒性。

安全与用途:本品仅限于科研用途,严禁用于人体。

相关产品:

FITC-棕榈酸,FITC-Palmiticacid

CY3-藤黄酸,CY3-GAMBOGIC ACID

NBD-阿卡波糖,NBD-Acarbose

CY5-Hemin,CY5-氯化血红素

CY5-氯霉素,CY5-Chloramphenicol

罗丹明B标记甘油葡糖苷,RB-glucosylglycerol





FITC-棕榈酸;FITC-Palmiticacid;异硫氰酸荧光素-十六烷酸(Fluores;绿色荧光标记饱和脂肪酸探针;Palmitic Acid-FITC c;

公司简介

陕西星贝爱科生物科技有限责任公司是西北一家从事经营进口科研试剂销售公司,科研试剂主要涉及生命科学、医 学及药学,生命科学试剂供应商之一

成立日期 (4年)
注册资本 100万元
员工人数 1-10人
年营业额 ¥ 100万以内
经营模式 贸易,试剂,定制
主营行业 生物材料,纳米材料,高分子化学,合成材料,通用试剂

FITC-棕榈酸相关厂家报价

内容声明
拨打电话 立即询价