网站主页
人G0/G1期开关调节蛋白2(G0S2)ELISA试剂盒 YB70496Hu
人G0/G1期开关调节蛋白2(G0S2)ELISA试剂盒 YB70496Hu
人G0/G1期开关调节蛋白2(G0S2)ELISA试剂盒 YB70496Hu
G0S2
¥1710
1盒
起订
¥2502
1盒
起订
上海 更新日期:2026-01-14
产品详情:
- 中文名称:
- 人G0/G1期开关调节蛋白2(G0S2)ELISA试剂盒 YB70496Hu
- 英文名称:
- G0S2
- 品牌:
- YBio/钰博生物
- 产地:
- 中国/上海
- 保存条件:
- 常温
- 纯度规格:
- 99%
- 产品类别:
- ELISA试剂盒
- 检测方法:
- 夹心法
- 种属反应性:
- 人
- 检测类型:
- 详见说明
- 敲除验证:
- 详见说明
- 样品类型:
- 血清,血浆或其他生物体液
- 检测时间:
- 详见说明
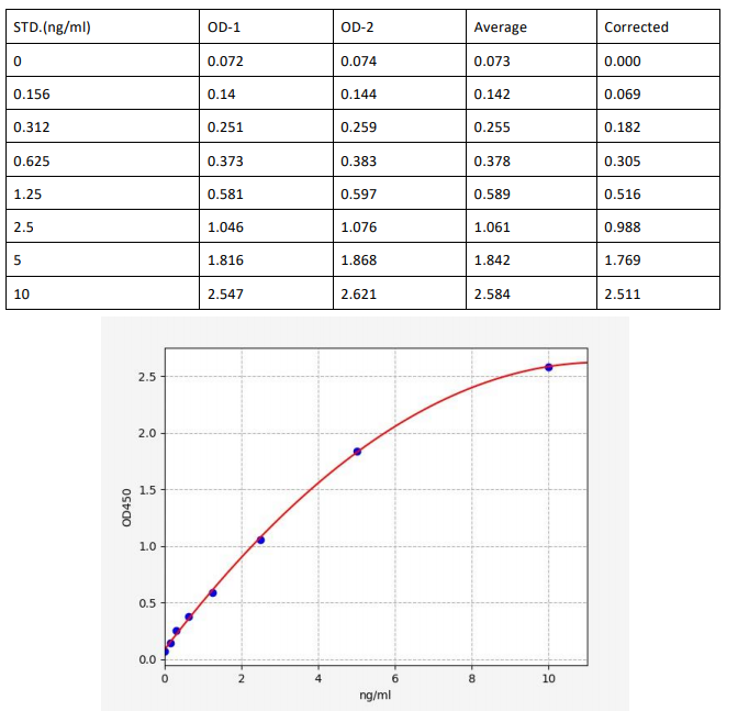
- 检测范围:
- 0.156-10ng/ml
- 灵敏度:
- 0.094ng/ml
- 规格:
- 48T/96T
公司简介
上海钰博生物科技有限公司是2012年5月由“海归”组成的创业团队与两个专业投资机构发起成立的,以
开发生产科研试剂和特色检验产品为方向,经过两年多的努力,已经建立了免疫学和分子生物学的五个技术平台,开发了ELISA/ELISpot酶联免疫试剂盒、重组蛋白、荧光标记抗体、四聚体(Tetramer)特异性T细胞检测试剂盒、Aimplex流式高通量多因子检测、microRNA表达谱分析和功能研究等系列产品和服务,与国内外免疫学、干细胞、传染病和肿瘤研究及临床检验领域的科学家们建立了良好的合作关系,形成了一定的品牌影响力。钰博生物另建有七大技术服务平台(ELISA定制服务,免疫学检测服务、分子生物学技术服务、蛋白表达与纯化技术服务、抗体制备技术服务、细胞培养技术服务、整体实验课题服务。用专业的知识、专业的设备、专业的态度为客户提供一站式实验技术服务!
| 成立日期 | (12年) |
| 注册资本 | 200万人民币 |
| 员工人数 | 1-10人 |
| 年营业额 | ¥ 100万-300万 |
| 经营模式 | 工厂 |
| 主营行业 | 生化试剂,抗体,蛋白组学,分子生物学,细胞生物学 |
人G0/G1期开关调节蛋白2(G0S2)ELISA试剂盒 YB70496Hu相关厂家报价
-
- 鸡G0/G1期开关基因(G0S2)elisa试剂盒
- 上海臻科生物科技有限公司 VIP
- 2026-02-06
- ¥1280
-
- 人钙调蛋白调节血影蛋白关联蛋白2(CAMSAP2)ELISA试剂盒
- 上海雅吉生物科技有限公司 VIP
- 2026-02-07
- ¥1200
-
- CAMSAP1 ELISA KIT / 人钙调蛋白调节血影蛋白关联蛋白1 ELISA试剂盒
- 上海酶联生物科技有限公司 VIP
- 2026-02-07
- ¥1400

