基本信息 产品详情 公司简介 推荐产品
网站主页 天然产物结构修饰 天然产物结构修饰
  • 天然产物结构修饰|分离纯化服务

天然产物结构修饰|分离纯化服务 新品

Natural product structural modification
询价 1项 起订
四川 更新日期:2025-12-22

成都普思生物科技股份有限公司

VIP9年
联系人:何女士
电话:028-028-85370565-229-229拨打
手机:18080489829 拨打
邮箱:18080489829@163.com

产品详情:

中文名称:
天然产物结构修饰
英文名称:
Natural product structural modification
品牌:
普思生物
产地:
四川
纯度规格:
98%
产品类别:
技术服务
是否进口:

图片

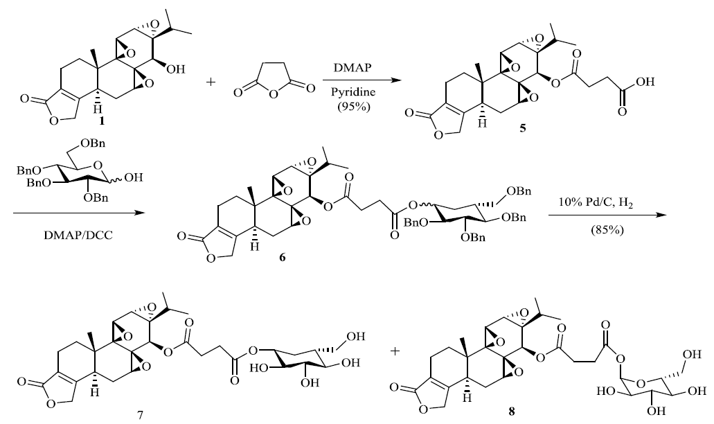
     稀有成分提取成本高昂,以易得的天然产物为先导化合物,结合结构与生物活性关系和代谢研究,进一步进行结构修饰和类似物合成,以提高药效和降低毒性,往往从一个有效的天然先导化合物可以衍生出一系列新药。

基于研发团队的专业敏锐性与创新性,在骨架不变的基础上,以药物化学结构优化原则,成药性原则等理论指导,利用生物或化学方法,对天然产物中的部分结构或官能团进行结构改造,减少目标成分的分离成本和化学全合成的步骤,获得目标化合物。

咨询联系:18080489829(微信同号)、QQ:3004654993;


天然产物结构修饰;结构修饰;结构改造;结构优化;

公司简介

普思生物专注于天然产物分离纯化及中药药学研究服务。公司集研发、生产、销售于一体,并始终坚持“以客户需求为导向”、“以技术创新为驱动”,形成了以“产品+服务”的业务运作模式。主营业务涵盖:药用植物活性单体、标准对照品等天然化合物的技术研发及定制生产、销售,化合物高分辨质谱分析、化合物标定、化合物结构鉴定、中药材检测(CNAS认可)、药物杂质分离、中药新化合物发现与活性筛选研究、中药新药临床前系统研究、经典名方、改良型新药及同名同方药开发研究、组分中药的配伍研究及高端制剂研究等技术外包服务,成功打造了国内领先的天然药物分离纯化及中药创新药研发服务小试+中试平台。

成立日期 (21年)
注册资本 3538.08万
员工人数 100-500人
年营业额 ¥ 1000万-5000万
经营模式 工厂,试剂,定制,服务
主营行业 天然产物,技术服务,第三方检测技术服务,整体实验外包服务

天然产物结构修饰相关厂家报价

内容声明
拨打电话 立即询价