9YR企业会员
发布人:上海瀚香生物科技有限公司
发布日期:2026/4/13 11:05:23
Aldoview是首个实现临床应用潜力的高选择性醛固酮合成酶(CYP11B2)PET示踪剂,其IC50值为4.7 nM,对CYP11B2的选择性比对CYP11B1高出93倍[1]。该示踪剂采用创新的二苯并噻吩锍盐化学进行18F标记,在小鼠实验中展现出良好的药代动力学特征,人体肾上腺组织成像研究进一步证实其能够有效区分正常组织和CYP11B2过度表达区域[1][2]。

Aldoview化学结构式
**原发性醛固酮增多症(PHA)**是最常见的继发性高血压病因之一,占全部高血压患者的5%-15%[2]。这种疾病的核心问题是肾上腺皮质球状带细胞过度分泌醛固酮,导致血压升高、血钾降低、代谢性碱中毒等一系列病理生理改变。
长期以来,PHA的分型诊断一直是临床难题。传统方法包括肾上腺静脉采血(AVS)和肾上腺CT扫描,但各有局限:AVS是有创操作,患者接受度低;CT扫描无法准确区分醛固酮腺瘤和双侧肾上腺增生[2]。准确分型直接影响治疗方案选择——单侧腺瘤通常需要手术切除,而双侧增生则以药物治疗为主。
PET(正电子发射断层扫描)显像是分子影像学的核心技术,通过注射放射性标记的示踪剂,可以非侵入性地可视化体内特定分子靶点的表达和分布。如果能开发一种针对CYP11B2的PET示踪剂,就能在体显示肾上腺CYP11B2的表达水平和空间分布,从而为PHA分型提供直接的功能学证据[1][2]。
醛固酮合成酶(CYP11B2)是催化胆固醇转化为醛固酮的关键酶,主要表达于肾上腺皮质球状带细胞。与之结构相似的CYP11B1主要参与皮质醇合成,在束状带表达[1]。
理想的CYP11B2 PET示踪剂需要满足两个条件:一是对CYP11B2具有高亲和力(IC50值足够低),二是对CYP11B1具有足够的选择性(避免交叉反应导致的非特异性信号)[1]。
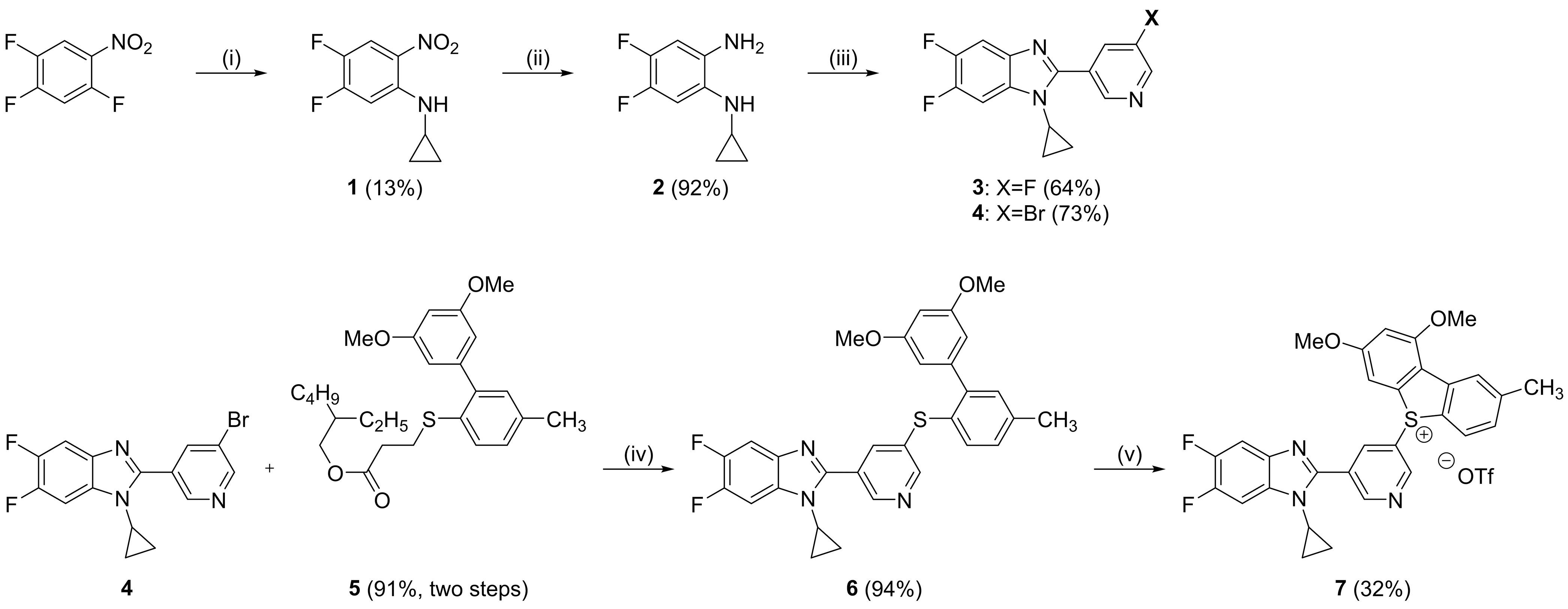
研究团队采用创新的二苯并噻吩锍盐化学构建Aldoview的分子骨架[1]。这种设计策略具有以下特点:
高选择性分子设计
锍盐结构提供了与CYP11B2活性位点的特异性相互作用
18F标记位点位于分子末端,便于后续放射性标记
体外自放射成像,使用[(18)F]AldoView,对手术切除肾上腺组织切片进行与相邻组织切片中特异性 IHC 染色进行 CYP11B2 对比。

[(18)F]AldoView 非放射性参考化合物 3 与标记前体 7(a) a 的合成
药代动力学优化 二苯并噻吩锍盐骨架的引入改善了化合物的脂溶性平衡,使其在保持CYP11B2高亲和力的同时,具备良好的组织穿透能力和代谢稳定性[1]。
瀚香生物优势提供的Aldoview前体是合成18F标记Aldoview的关键起始物料,其详细参数如下[3]:
核心参数
CAS号:2786716-47-8
分子式:C31H24F5N3O5S2
分子量:677.66 g/mol
外观:根据纯化程度可能为白色至类白色固体
储存条件:建议-20°C或以下保存,避光防潮

Aldoview前体化学结构式
质量控制
纯度≥95%(HPLC检测)
水分含量≤5%
残留溶剂符合ICH指导原则
该前体化合物含有用于18F亲核取代的反应位点,可通过经典的亲核氟化反应实现18F标记,标记效率通常可达30%-60%(非放射化学产率)[1]。
18F是最常用的PET放射性核素之一,其物理半衰期为109.7分钟,正电子产率为97%[1]。Aldoview的18F标记采用亲核取代反应路线:
由前体制备18F标记的Aldoview
通过二苯并噻吩锍盐中间体实现高效标记
最终产物通过HPLC纯化获得放射化学纯度≥95%的产品
放射化学纯度(RCP)
采用HPLC或 Radio-TLC 方法检测
要求RCP≥95%
放化杂质需控制在可接受范围内
比活度
目标比活度≥37 GBq/μmol(终端产品)
高比活度可减少给药剂量,降低潜在毒性风险
无菌与内毒素
如需用于临床研究,终产品需通过0.22 μm滤膜过滤
内毒素检测需符合药典要求
研究团队系统评估了Aldoview对CYP11B2和CYP11B1的抑制活性[1]:
这个数据表明,Aldoview对CYP11B2的亲和力是CYP11B1的93倍,具有优异的目标选择性[1]。高选择性意味着在体内成像时,信号主要来源于CYP11B2的表达,而非CYP11B1的干扰。
在小鼠模型中,研究人员考察了[18F]Aldoview的药代动力学特征[1]:
血浆动力学
静脉注射后,血浆放射性浓度迅速下降
表现出两室模型特征
清除半衰期适合PET成像时间窗口
组织分布
肾上腺组织对[18F]Aldoview的摄取显著高于其他器官
靶组织/非靶组织比值随时间逐渐升高
背景信号低,成像对比度良好
研究团队还开展了小规模的初步人体研究,验证[18F]Aldoview在人体中的成像效果[1][2]:
主要发现
正常志愿者肾上腺可见轻度放射性摄取
CYP11B2过度表达区域(如醛固酮腺瘤)显示明显更高的摄取信号
能够区分正常组织和CYP11B2高表达病变区域
这些初步数据为后续的大规模临床研究奠定了基础[1]。

体外自放射成像,使用[(18)F]AldoView,对手术切除肾上腺组织切片与相邻组织切片中特异性染色进行对比。
如果后续临床试验进一步验证其安全性和有效性,[18F]Aldoview PET成像有望成为PHA分型诊断的重要辅助工具[2]。其潜在优势包括:
无创性检查,患者接受度高
直接显示CYP11B2的功能表达
可能指导手术决策(单侧vs双侧病变)
可用于治疗效果的动态监测
除了PHA诊断,Aldoview相关技术还有望向其他领域拓展:
先天性肾上腺皮质增生症研究 CYP11B1/CYP11B2相关代谢通路异常的研究工具
CYP11B2表达相关疾病 探索CYP11B2在其他生理或病理状态下的表达变化
药物研发平台 作为工具化合物用于CYP11B2抑制剂的筛选和评价
Q:Aldoview前体和Aldoview有什么区别?
Aldoview前体(CAS:2786716-47-8)是未标记的化学中间体,分子量为677.66,可作为合成18F标记Aldoview的起始物料。Aldoview通常指代18F标记后的放射性示踪剂成品,用于PET成像实验。两者的关系是前体经过放射性标记反应转化为终产品。
Q:Aldoview的选择性数据是多少?
根据文献报道,Aldoview对CYP11B2的IC50值为4.7 nM,对CYP11B1的IC50值为435 nM,选择性倍数约为93倍[1]。这意味着在相同浓度下,Aldoview更倾向于与CYP11B2结合,而非CYP11B1。
Q:二苯并噻吩锍盐化学有什么特点?
二苯并噻吩锍盐是一种含硫正离子的芳香杂环结构,在药物化学中常用于构建特定的功能基团。这种化学骨架的优势在于:具有较好的代谢稳定性;可实现高效的18F标记;有助于调节分子的脂溶性平衡[1]。
Q:18F标记的Aldoview半衰期是多久?
18F的物理半衰期为109.7分钟,这意味着在标记完成后约10小时内,放射性活度会衰减至初始值的约1%[1]。这一特性要求标记实验室配备快速纯化和质量控制流程,确保产品在给药时仍保持足够的放射性活度。
Q:Aldoview适用于哪些研究场景?
Aldoview及相关前体主要适用于:原发性醛固酮增多症(PHA)的分型诊断研究;CYP11B2表达水平的功能成像研究;CYP11B2抑制剂的筛选和评价;肾上腺皮质激素代谢相关的基础研究。科研人员在选择时应根据具体研究目的和实验条件进行评估。
[1] Regional differences in aldosterone synthase expression in the adrenal gland: implications for PET imaging with [18F]AldoView. ACS Publications, 2021.
[2] CYP11B enzymes and steroid biosynthesis: structural basis and clinical relevance. Journal of Steroid Biochemistry and Molecular Biology.
[3] Positron emission tomography in endocrinology: current applications and future prospects. European Journal of Nuclear Medicine and Molecular Imaging.
[4] Radiochemistry in PET imaging: principles and applications. Quarterly Journal of Nuclear Medicine and Molecular Imaging.
[5] Primary aldosteronism: from pathophysiology to treatment. Nature Reviews Endocrinology.
[6] Development of CYP11B inhibitors as potential therapeutics for primary aldosteronism. Bioorganic & Medicinal Chemistry Letters.
本文内容基于公开发表的科学研究数据,由瀚香生物收集整理,仅供科研人员参考与学术交流,不可用于个人用途。
相关新闻资讯