5YR企业会员
发布人:西安凯新生物科技有限公司
发布日期:2026/1/5 9:34:36
产品介绍:
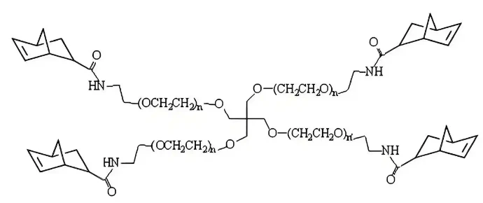
4ArmPEG-Norbornene 是一种多臂、功能化的聚乙二醇衍生物,其核心是一个四官能度的PEG中心,从该中心延伸出四条末端修饰有 降冰片烯 基团的PEG链。降冰片烯是一种经典的环烯烃,能够通过 硫醇-烯 点击化学反应与含硫醇的分子快速耦合。
4ArmPEG-Norbornene的核心优势源于其四臂伞状结构。四条PEG链(分子量范围2k-20k)通过中心核心辐射状展开,每条臂末端均携带一个降冰片烯基团。这种设计赋予分子三大特性:
高密度反应位点:四臂结构提供四个独立反应末端,可同时参与多个化学反应,实现多功能化。例如,在构建水凝胶时,四条臂可分别与含硫醇(Thiol)的分子(如聚乙二醇二硫醇、双半胱氨酸肽)进行光介导正交反应,形成高度交联网络。
空间柔性调控:PEG链的柔性与亲水性在水相中形成动态水化屏障,既提高末端官能团可达性,又降低蛋白质非特异性吸附。实验数据显示,4ArmPEG-Norbornene修饰的纳米颗粒表面蛋白质吸附量比未修饰颗粒降低80%以上。
反应效率提升:多臂结构增强功能末端暴露,使降冰片烯基团与硫醇的反应效率提升3-5倍。在光交联过程中,光照强度、反应时间或硫醇浓度可精确调控交联密度,实现水凝胶力学性能(如弹性模量)的按需定制。
通过降冰片烯末端与含硫醇(Thiol)的分子(如聚乙二醇二硫醇、双半胱氨酸肽)进行光介导正交反应,形成高度交联网络,提高水凝胶力学稳定性和可控降解性。利用降冰片烯末端的高反应性,与蛋白质或其他生物分子进行特异性偶联,保持蛋白质构象完整,避免非特异性吸附。通过多臂结构实现多位点偶联,使材料功能化可控、空间分布均匀。
相关参数:
中文名称:4-臂聚乙二醇降冰片烯,四臂聚乙二醇-降冰片烯,4-臂PEG降冰片烯
英文名称:4ArmPEG-Norbornene,4ArmPEG-Nor,4-arm-PEG-Nor,4-ArmPEG-Norbornene
分子量:0.4k,0.6k,0.8k,1k,2k,5k,10k,20k,50k(可按需定制)
结构式:

外观:固体/粉末
纯度:95%,详情可在线咨询
发货:订单截止时间为每日16点整,部分城市可到17点整。
注意事项:在有粉尘生成的地方,提供合适的排风设备。不要让产物进入下水道。本品仅供科研用途,不作为其它用途。
保存建议:需要存储在-20°C,避光,避湿的环境。取用一定要干燥,避免反复冻融。

同类型相关试剂:
8-Arm PEG-Alkyne
4-arm-PEG-SH
4-arm-PEG-Alkyne
4-arm-PEG-Azide
4-arm-PEG-Biotin
4-ARM-PEG-Thiol
8-Arm PEG-Biotin
4-arm-PEG-Acrylate
4-ARM-PEG-Benzaldehyde
4-ARM-PEG-DF
4-ARM-PEG-DTPA
8-Arm PEG-Chloride
8-Arm PEG-Acrylate
4-arm-PEG-OH
4-arm-PEG-COOH
4-ARM-PEG-SH
8-Arm PEG-SH
上述信息均由西安凯新生物科技的小编小兮所整理
相关新闻资讯