5YR企业会员
发布人:西安凯新生物科技有限公司
发布日期:2025/11/18 9:42:56
关键词:FA-PEG-Tocopherol,Folic acid-PEG-Tocopherol
产品介绍:
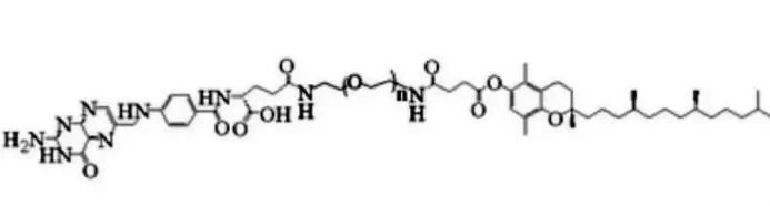
FA-PEG-Tocopherol是一种由叶酸(FA)、聚乙二醇(PEG)和维生素E(Tocopherol)连接起来的化合物。该化合物能够与生物分子和细胞结合,从而在生物成像和标记中展现出良好的特异性。生育酚,淡黄色粘液,接近无气味。 天然的生育酚都是D-生育酚(右旋型),它有α、β、ϒ、δ等8种构型,其中以α-生育酚的活性最强。
FA-PEG-Tocopherol的叶酸部分能够特异性地识别并结合叶酸受体阳性的细胞,从而实现细胞的成像。该化合物还可以作为生物标记试剂,用于标记特定的生物分子或细胞。通过显微镜下观察标记效果,可以了解生物分子的分布和功能。
相关参数:
中文名称:叶酸聚乙二醇维生素E,叶酸PEG维生素E
英文名称 : FA-PEG-Tocopherol,Folic acid-PEG-Tocopherol,Folate-PEG-Tocopherol,FA-PEG-Vitamin E
分子量:0.4k,0.6k,0.8k,1k,2k,5k,10k,20k,50k(可按需定制)
结构式:

外观:固体/粉末
纯度:95%,详情可在线咨询
发货:订单截止时间为每日16点整,部分城市可到17点整。
注意事项:在有粉尘生成的地方,提供合适的排风设备。不要让产物进入下水道。本品仅供科研用途,不作为其它用途。
保存建议: 需要存储在-20°C,避光,避湿的环境。取用一定要干燥,避免反复冻融。

同类型相关试剂:
DSPE-PEG-FA
FA-PEG-DBCO
Tocopherol PEG amine
DSPE-PEG-FA
DSPE-PEG3-Mal
DSPE-PEG5K-FA
BocNH-PEG3-CH2CH2NHMe
DSPE-PEG2-NHS ester
DSPE-PEG8-Mal
DSPE-PEG5000-Folate
DSPE-PEG3-NHS ester
上述信息均由西安凯新生物科技的小编小兮所整理
相关新闻资讯