5YR企业会员
发布人:西安凯新生物科技有限公司
发布日期:2025/11/18 9:35:19
关键词:FA-PEG-Lysine,Folic acid-PEG-Lysine,Folate-PEG-Lysine
产品介绍:
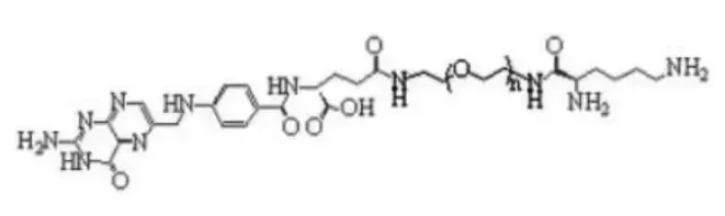
FA-PEG-Lysine中文名叶酸聚乙二醇赖氨酸,由叶酸(FA)、聚乙二醇(PEG)和赖氨酸(Lysine)三部分组成。可用于修饰蛋白质、多肽等生物分子,通过增加其溶解性和稳定性,降低免疫反应,同时利用叶酸的靶向性实现特定的研究目的。叶酸作为靶向配体,能够特异性地结合在细胞表面过表达的叶酸受体上。叶酸基团能够特异性地结合到叶酸受体上,使得叶酸聚乙二醇赖氨酸具有靶向性。
赖氨酸(Lysine):赖氨酸部分提供了氨基等活性基团,这些基团具有反应活性,可用于与其他分子进行连接或修饰,如荧光标记等。
相关参数:
英文名称:FA-PEG-Lysine,Folic acid-PEG-Lysine,Folate-PEG-Lysine
中文名称:叶酸聚乙二醇赖氨酸,叶酸PEG赖氨酸
分子量:0.4k,0.6k,0.8k,1k,2k,5k,10k,20k,50k(可按需定制)
结构式:

外观:固体/粉末
纯度:95%,详情可在线咨询
发货:订单截止时间为每日16点整,部分城市可到17点整。
注意事项:在有粉尘生成的地方,提供合适的排风设备。不要让产物进入下水道。本品仅供科研用途,不作为其它用途。
保存建议: 需要存储在-20°C,避光,避湿的环境。取用一定要干燥,避免反复冻融。

同类型相关试剂:
DOX-PEG-FA
DSPE-TK-PEG-FA
DSPE-TK-PEG-Folate
N3-PEG-CY3
Azide-PEG-CY3
PBA-PEG-FA
PBA-PEG-Folate
PBA-PEG-Folic acid
DMG-PEG-FA
DMG-PEG-Folate
上述信息均由西安凯新生物科技的小编小兮所整理
相关新闻资讯