4YR企业会员
发布人:西安凯新生物科技有限公司
发布日期:2025/5/29 9:57:12
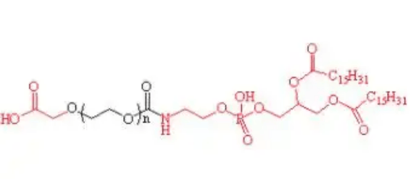
【名称】
英文名称:DPPE-PEG-COOH,DPPE-PEG-Aicd
中文名称:二棕榈酰磷酯酰乙醇胺聚乙二醇羧基,二棕榈酰磷酯酰乙醇胺PEG羧基
分子量:0.4k,0.6k,0.8k,1k,2k,5k,10k,20k,50k(可按需定制)
结构式:

【处置与储存】
外观:固体/粉末
纯度:95%,详情可在线咨询
发货:每日订单截止时间为16点整,特殊情况可来电咨询,确保在承诺的时间内提供理想的产品。
保存建议: 需要存储在-20°C,避光,避湿,避免反复冻融。从冰箱取出产品后,置于室温回温至少30min-1h,再开盖,以避免受潮。
注意事项:在有粉尘生成的地方,提供合适的排风设备,不要让产物进入下水道。本品仅供科研用途,不作为药物、家庭备用药或其它用途。
【产品介绍】
DPPE-PEG-COOH,全称为二棕榈酰磷酯酰乙醇胺-聚乙二醇-羧基,是一种具有独特理化性质的化合物。DPPE即二棕榈酰磷酯酰乙醇胺,是一种磷脂类化合物,具有双疏水脂肪酸酯链和疏水磷酸基团。
利用其独特的物理化学性质和生物活性,DPPE-PEG-COOH还可用于生物成像领域,如细胞成像和组织成像等。DPPE-PEG-COOH可用于修饰生物传感器表面,提高传感器的稳定性和灵敏性,实现对目标分子的高效识别和检测。
在DPPE-PEG-COOH中,COOH通常位于PEG链的末端,使得整个分子具有亲水性和反应性。利用其亲水性和反应性,可以构建生物传感器,用于检测生物体内的特定分子或离子。通过化学反应,可以将二棕榈酰磷酯酰乙醇胺聚乙二醇羧基与其他生物分子(如蛋白质、抗体等)偶联起来,形成具有特定功能的复合物。

【同类型相关产品】
SH-PEG-Cholic acid
Thiol-PEG-Cholic acid
SH-PEG-Retinol
Thiol-PEG-Retinol
SH-PEG-NH-Fmoc
Thiol-PEG-NH-Fmoc
Thiol-PEG-Methotrexate
SH-PEG-Tocopherol
SH-PEG-Vitamin E
Thiol-PEG-Tocopherol
SH-PEG-Streptavidin
Thiol-PEG-Streptavidin
SH-PEG-Cholic acid
Thiol-PEG-Cholic acid
SH-PEG-Retinol
Thiol-PEG-Retinol
相关新闻资讯