4YR企业会员
发布人:西安凯新生物科技有限公司
发布日期:2025/5/21 9:41:59
试剂 | 基础知识概述(部分):
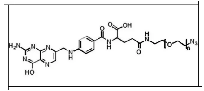
英文名称:FA-PEG-N3,Folic acid-PEG-Azide,Folate-PEG-N3,FA-PEG-azide
中文名称:叶酸聚乙二醇叠氮,叶酸-聚乙二醇-叠氮,叶酸PEG叠氮
分子量:0.4k,0.6k,0.8k,1k,2k,5k,10k,20k,50k(可按需定制)
规格标准:1g,5g,10g;可提供mg级以及kg级的产品开发服务
试剂厂家:西安凯新生物科技有限公司
试剂 | 结构式:

试剂 | 反应机理(部分):
FA-PEG-N3是一种由叶酸(Folic Acid)、聚乙二醇(PEG)和叠氮化物(N3)基团组成的化合物。它在药物递送系统中非常有用,其中叶酸作为靶向配体,聚乙二醇提供稳定性和溶解度,而末端的叠氮化物基团则为进一步的功能化或生物偶联提供反应性。
FA-PEG-N3的末端叠氮化物基团可以与含有炔烃官能团的分子或实体进行生物偶联反应。这种反应通常称为“点击化学”,它提供了一种高效、高选择性的方法来进行分子连接
试剂 | 细节注意(部分):
1.固体/粉末
2.溶于大部分有机溶剂,溶于水
3.纯度标准95%+
4.保存建议:需要存储在-20°C,避光,避湿的环境,避免反复冻融。从冰箱取出产品后,置于室温回温至少30min-1h,再开盖,以避免受潮。
5.注意事项:仅用于科学研究,不作为其它用途。

试剂 | 相关试剂(部分):
OPSS-PEG-N3
OPSS-PEG-azide
N3-PEG-ALD
N3-PEG-DBCO
Azide-PEG-DBCO
Retinoic acid-PEG-azide
N3-PEG-Retinoic acid
Dopamine-PEG-N3
DOPA-PEG-azide
Azide-PEG-Aldehyde
Azide-PEG-Rhodamine B
(文章资料汇总来源于:西安凯新生物科技有限公司小编小兮)
相关新闻资讯