9YR企业会员
发布人:长沙上禾生物科技有限公司
发布日期:2020/10/12 10:46:45
莽草酸 ((-)-Shikimic acid) 是植物界中含量丰富的一种天然产物,如从八角茴香中可提取得到莽草酸。2000年禽流感爆发期间,因其作为抗病毒磷酸奥司他韦(Oseltamivir phosphate)合成的起始物料而备受关注。
联系人:13548561509.周宇(同微)QQ:484702402@qq.com
磷酸奥司他韦于1995年由Gilead获得专利权,并于1996年许可给Roche,经过2年多的药物开发,于1999年10月获得FDA批准上市,用于治疗流感。

莽草酸因其广泛的天然来源和独特的手性构型,应用于许多天然产物和生物活性物质的合成(结构如上所示),本文将主要对莽草酸在磷酸奥司他韦合成中的应用作一简要介绍。
首次报道的奥司他韦的实验室制备路线:

吉利德公司的磷酸奥司他韦放大合成路线:

中间体环氧化合物415放大合成路线:

从环氧化物415到磷酸奥司他韦的工业化合成路线:

无叠氮化步骤的磷酸奥司他韦的合成路线1:

无叠氮化步骤的磷酸奥司他韦的合成路线2:

绕过中间体415的磷酸奥司他韦的合成路线:

由叠氮化钠双亲核取代甲磺酸酯合成磷酸奥司他韦:

通过环亚硫酸酯中间体合成磷酸奥司他韦:

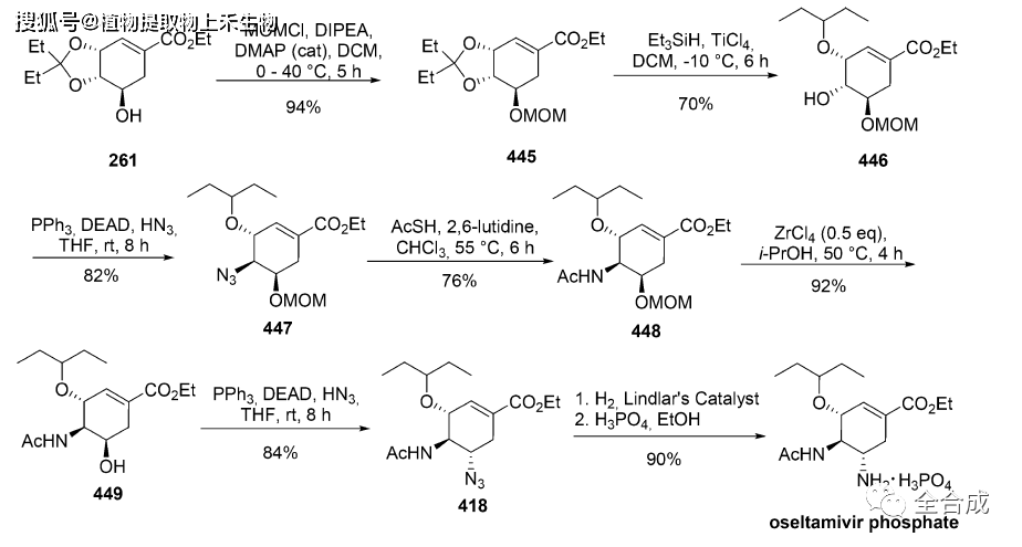
通过缩酮中间体合成磷酸奥司他韦:

磷酸奥司他韦的合成研究报道较多,以上是总结了以莽草酸为起始原料或中间体进行进行合成的路线汇总。
相关新闻资讯