6YR企业会员
发布人:上海皓鸿生物医药科技有限公司
发布日期:2026/1/15 17:06:26
一场靶向降解的化学革命正在发生
在肿瘤、自身免疫病、神经退行性疾病等领域,高达80%的疾病相关蛋白因缺乏典型活性口袋,长期被视为“不可成药”靶点。而靶向蛋白质降解技术的崛起,正以前所未有的方式打破这一僵局。其中,以Cereblon为引擎的降解策略,已成为当前临床进展最快、最具潜力的方向之一。
近日,Bristol Myers Squibb(BMS)团队在《RSC Medicinal Chemistry》发表重磅综述,系统总结了戊二酰亚胺化学在CRBN介导的TPD领域的最新合成突破,为靶向蛋白降解领域的药物化学研究提供了系统的合成工具箱与方法学指引。

Section.01 — Leyan.com — 为何戊二酰亚胺如此关键?
临床霸主地位 截至2022年,所有进入临床的分子胶降解剂均使用CRBN,而11种已公开的临床试验中异双功能降解剂中有10种也利用 CRBN 作为E3连接酶,占比超过90%。 
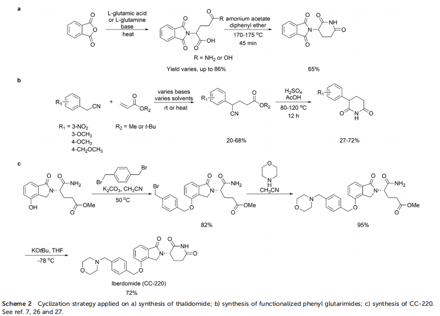
结构优势 相比于VHL、IAP等E3配体,戊二酰亚胺骨架具有更低的分子量、更优的类药性质,更容易构建口服活性分子。 尽管潜力巨大,戊二酰亚胺类化合物的合成长期面临三大核心挑战 1、碱性水溶液条件下戊二酰亚胺环的不稳定性,易发生开环反应; 2、戊二酰亚胺环上的立体中心易发生差向异构化; 3、氮原子上的酸性质子会干扰传统金属催化交叉偶联反应和Mitsunobu反应; 传统合成路径的 “破局之路” 传统合成策略主要包括直接连接戊二酰亚胺环、后期环化形成环结构和掩蔽戊二酰亚胺策略,但普遍存在产率低、步骤繁琐、兼容性差等问题。例如直接连接策略常导致下游转化中的开环或异构化,掩蔽策略则面临还原不完全的困境,这些都制约了 CRBN 降解剂的研发效率。 ↓↓↓左右滑动预览↓↓↓


为解决这些痛点,科研人员近年来开发了一系列创新方案。其中,C-H 官能化技术让人眼前一亮 —— Liu 团队通过钯催化的 γ-C (sp³)-H 内酯化反应,实现了开环戊二酰亚胺前体的高效环合,不仅兼容羧基、酯基、酰胺等多种官能团,还能精准控制反应位点,成功放大至克级规模仍保持高收率。这种方法无需复杂预处理,直接实现位点选择性活化,为新型 CRBN 配体的快速构建提供了捷径。 
Section.02 — Leyan.com — 键合反应的 “精准升级” 从 C-N 到 C-C 的全方位突破
在结构多样化领域,键合反应的优化是核心突破点。针对 C-N 键形成,科研人员开发了适配戊二酰亚胺的 Buchwald-Hartwig 偶联方案:Hayhow 团队选用大位阻缺电子钯预催化剂,搭配碳酸铯和 1,4 - 二氧六环体系,实现了未保护戊二酰亚胺与烷基胺、芳胺的高效偶联,还成功应用于 PROTACs 的 linker 修饰;Lejava 团队则通过高通量筛选,发现 BrettPhos 配体适配伯胺、RuPhos 配体适配仲胺,以 LiHMDS 为碱形成聚集态锂物种,大幅提升了反应兼容性,成功合成 30 种不同核心结构的 CRBN 配体。 


而 X-H 插入反应的引入,更拓展了 C-N 键形成的边界。Zhong 团队开发的铱催化重氮丙二酸酯 N-H 插入反应,在室温下即可实现戊二酰亚胺与脂肪胺、芳香胺的高效偶联,产物收率高达 81%,且后续可通过脱羧、酰胺化等反应进一步衍生。Kalinin 团队的铑催化 O-H/S-H/N-H 插入反应,更是一次性合成了多样化的戊二酰亚胺库,产物不仅保持高 CRBN 结合亲和力,还具有低细胞毒性。 ↓↓↓左右滑动预览↓↓↓

在 C-C 键形成方面,一系列创新方法彻底改变了游戏规则。Baran 团队开发的布朗斯特酸辅助镍电催化交叉偶联,首次实现了戊二酰亚胺核心的直接 C-C 键连接,该反应兼容硝基、醇等敏感官能团,可在空气和水存在下进行,还能通过流动化学放大至十克级规模。Reisman 团队则聚焦对映选择性合成,利用手性配体 4 - 庚基 BiOX,实现了镍催化还原偶联的高对映控制,产物 ee 值优异,解决了降解剂中手性异构体生物活性差异的关键问题 —— 要知道,(S)- 氘代沙利度胺的 CRBN 结合能力是 (R)- 异构体的 10 倍! ↓↓↓左右滑动预览↓↓↓

针对不同杂化态碳的键合需求,科研人员还开发了专属方案:Suzuki-Miyaura 偶联通过无水氟化钠促进体系,实现了未保护戊二酰亚胺的立体保持性偶联,ee 值高达 99%;光氧化还原催化的 C (sp²)-C (sp³) 交叉偶联,成功将烷基溴、甲苯磺酸盐等与戊二酰亚胺骨架连接,为引入 sp³- 富集结构提供了可能 —— 这类结构不仅能提升药物的类药性质,还能减少脱靶降解。 ↓↓↓左右滑动预览↓↓↓




Section.03 — Leyan.com — 创新策略 从点击化学到二氢尿嘧啶的多元化探索
除了经典键合反应,新型合成策略的融入让戊二酰亚胺化学更具活力。点击化学的应用就是典型例子:Ronnebaum 团队通过铜催化的叠氮 - 炔烃环加成(CuAAC),将 1,2,3 - 三唑 linker 引入戊二酰亚胺配体,反应条件温和、收率高达 61%-98%,后续衍生的 FPFT-2216 已成为 IKZF1 和 CK1α 的高效降解剂。
卡宾介导的环丙烷化 / 环丙烯化反应则为结构复杂的配体合成提供了新思路。Tracy 团队利用手性铑催化剂,实现了戊二酰亚胺衍生物的不对称环加成,产物非对映选择性高达 20:1,且 trichloroethyl 酯基团可进一步衍生,为构建新型分子胶提供了结构基础。 
而二氢尿嘧啶(DHU)类 CRBN 配体的出现,更是解决了戊二酰亚胺的固有缺陷 ——AstraZeneca 团队开发的钯催化 N-1 选择性交叉偶联,直接实现未保护 DHU 与芳基卤化物、三氟甲磺酸酯的一步连接,产物不仅保持高 CRBN 结合力,还消除了手性中心和水解不稳定性,为降解剂的稳定性优化提供了新方向。
Section.04 — Leyan.com — 未来可期 TPD 药物研发的新航向
这些合成技术的突破,不仅大幅提升了戊二酰亚胺类 CRBN 配体的合成效率,更重要的是拓展了结构多样性 —— 从传统的异吲哚啉酮、邻苯二甲酰亚胺,到新型的吲唑、苯并咪唑、二氢尿嘧啶骨架,从 C-N 连接到 C-C 键合,从对称结构到手性富集分子,科研人员如今拥有了更丰富的设计空间。 

更令人振奋的是,这些方法大多具备良好的可扩展性和功能团兼容性,部分已成功应用于 PROTACs、分子胶的后期修饰与 linker 优化,为构效关系(SAR)研究和药物性质优化提供了高效工具。未来,随着纳米级直接生物学(D2B)平台的发展,这些合成方法将进一步与高通量筛选结合,加速降解剂的发现与优化。 靶向蛋白降解的浪潮已至,戊二酰亚胺化学的技术革新正在为这场浪潮注入强劲动力。从实验室的合成突破到临床药物的成功转化,这些化学方法的进步不仅改写了 TPD 药物的研发格局,更有望让更多 “不可成药” 靶点被攻克,为疾病治疗带来全新可能。对于生物医药领域的研究者而言,掌握这些新型合成工具,无疑将在靶向蛋白降解的赛道上抢占先机!
乐研长期紧密跟踪PROTAC/分子胶领域的前沿动态,专注于新型CRBN配体的设计与开发。我们拥有丰富的合成经验和结构新颖的化合物库,能够为客户提供从毫克级筛选到kg级制备的全方位、高纯度产品与定制服务,加速您的新药研发进程! 乐研可提供的相关分子砌块
关于 乐研 乐研品牌隶属于上海皓鸿生物医药科技有限公司,是上市企业皓元医药(股票代码:688131)子公司。专注服务于医药研发领域,经过多年快速发展,已成为集研发、定制合成和销售于一体的高端试剂品牌。乐研拥有享誉业内的自主研发技术能力,秉承“研发实力打造高品质”的理念进行产品的开发,始终致力于为国内外化学和医药研发领域用户提供最优质的产品和最专业的服务,乐研开发和打造的产品系列主要包括: 90000+ 分子砌块、合成试剂、医药中间体和相关的仪器耗材。能满足用户从mg级到kg级、从标准化到定制化的实验室综合需求。 乐研的所有产品仅用作科学研究,我们不为任何个人用途提供产品和服务。
相关新闻资讯