5YR企业会员
发布人:西安凯新生物科技有限公司
发布日期:2025/11/11 9:50:39
关键词:Tri-GalNAc(OAc)3-NH2,Tri-GalNAc-NH2,1159408-65-7,三臂半乳糖靶头
产品介绍:
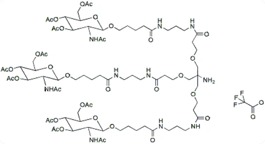
Tri-GalNAc(OAc)3 TFA由三个N-乙酰神经氨酸(GalNAc)残基组成,每个GalNAc上都带有一个乙酰基团(OAc)。这种结构使得它具有特定的化学性质和生物活性。Tri-GalNAc代表 三聚N-乙酰半乳糖胺。这是与肝细胞表面去唾液酸糖蛋白受体高亲和力结合的靶向头基。NH₂:代表 氨基。这是一个化学反应性基团(-NH₂),充当分子的“连接挂钩”。因此,Tri-GalNAc-NH₂ 是一个末端带有氨基的三价GalNAc配体。它与 Tri-GalNAc-COOH 的核心区别在于末端的化学反应官能团。
Tri-GalNAc(OAc)3-NH2具有多种生物活性,包括但不限于用于研究糖蛋白和糖脂的结构和功能。它还可以作为合成具有特定生物活性的神经氨酸衍生物的原料,如GalNAc-LYTAC等。
通过氨基与纳米粒子表面的羧基反应,可将GalNAc配体固定于金纳米颗粒、磁性纳米粒子等表面,实现肝细胞特异性靶向。例如,GalNAc修饰的金纳米粒子在肝癌细胞模型中的摄取效率比未修饰粒子提高5倍。
相关参数:
中文名称:三臂半乳糖靶头
英文名称:Tri-GalNAc(OAc)3-NH2,Tri-GalNAc-NH2,Tri-GalNAc(OAc)3 TFA salt,Trimeric GalNAc-NH2 TFA salt,Tri-β-GalNAc-amine TFA salt,Trivalent GalNAc-NH2 TFA Salt,Tris-GalNAc-NH2 TFA salt
CAS:1159408-65-7
分子式:C81H129F3N10O38
分子量:1907.95
结构式:

外观:固体/粉末
纯度:95%,详情可在线咨询
发货:订单截止时间为每日16点整,部分城市可到17点整。
注意事项:在有粉尘生成的地方,提供合适的排风设备。不要让产物进入下水道。本品仅供科研用途,不作为其它用途。
保存建议: 需要存储在-20°C,避光,避湿的环境。取用一定要干燥,避免反复冻融。

同类型相关试剂:
Sulfo-Cy7.5-FAPI-4
Sulfo-Cy3-PSMA
Sulfo-Cy5-PSMA
Sulfo-Cy5.5-PSMA
Sulfo-Cy5.5-FAPI-4
Sulfo-Cy7-FAPI-4
Sulfo-Cy7-PSMA
Sulfo-Cy7.5-PSMA
sulfo-Cy5-Deferoxamine
上述信息均由西安凯新生物科技的小编小兮所整理
相关新闻资讯