5YR企业会员
发布人:西安凯新生物科技有限公司
发布日期:2025/11/11 9:43:07
关键词:1953146-81-0,Tri-GalNAc-COOH,三臂半乳糖-羧基
产品介绍:
tri-GalNAc-COOH是一种糖基化试剂,可以与蛋白质、脂质和其他分子结合,以改变它们的化学性质和生物学活性。tri-GalNAc-COOH在细胞表面受体和配体识别中发挥着作用,可以影响细胞之间的信号传递和相互作用。
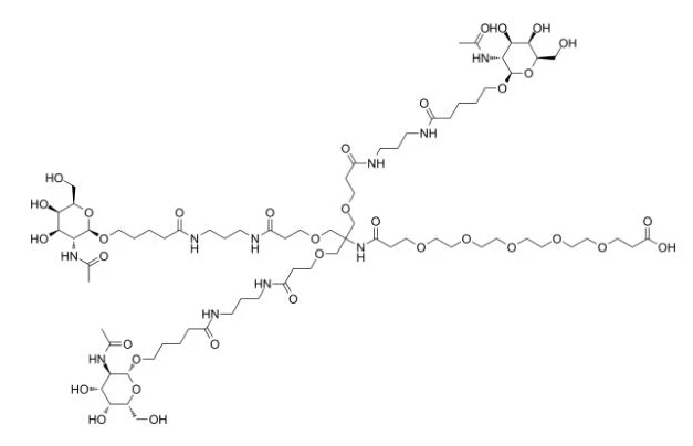
tri-GalNAc-COOH 分子包含三个 N-乙酰半乳糖胺(GalNAc)单元,通过适当的连接基团形成三聚体,末端含有羧酸(COOH)功能基团。GalNAc 是一种天然存在的氨基糖,在糖蛋白和糖脂修饰中广泛存在,并能被肝细胞表面的 Asialoglycoprotein Receptor(ASGPR)高亲和识别。三聚体结构增强了对 ASGPR 的结合能力,提高了受体特异性和结合效率。羧酸末端可用于进一步的化学改造,如通过酯化、酰胺化或点击化学方法连接药物、小分子探针或高分子载体,实现功能化的分子构建。
Tri-galnac COOH是用于溶酶体靶向嵌合体 (LYTAC) 研究和开发的功能化脱唾液酸糖蛋白受体配体; 结合了脱唾液酸糖蛋白受体 (ASGPR) 具有PEG接头和羧酸基团反应性柄的配体准备好与靶蛋白配体缀合。在与ASGPR结合后,tri-galnac缀合物通过ASGPR介导的内吞作用被有效内化。
相关参数:
英文名称:tri-GalNAc-COOH,TRI-GALNAC COOH,Tri-GalNAc-carboxylic acid,Tri N-acetylgalactosamine-carboxylic acid
中文名称:三臂半乳糖-羧基,Tri-GalNAc-羧基
CAS:1953146-81-0
分子式:C75H134N10O35
分子量:1735.93
结构式:

外观:固体/粉末
纯度:95%,详情可在线咨询
发货:订单截止时间为每日16点整,部分城市可到17点整。
注意事项:在有粉尘生成的地方,提供合适的排风设备。不要让产物进入下水道。本品仅供科研用途,不作为其它用途。
保存建议: 需要存储在-20°C,避光,避湿的环境。取用一定要干燥,避免反复冻融。

同类型相关试剂:
Tri-GalNAc-NHS ester
tri(2-methoxyphenylseleno)methane
tri-n-butyl(3-methylbutyloxy)tin
Fmoc-Thr-OtBu
Fmoc-Thr(Ac3GalNAcα)-OH
Fmoc-Ser(Ac4Manα)-OH
Fmoc-Ser(Ac4Manα1-2Ac3Manα)-OH
Fmoc-L-Ser(Ac3-L-Fucα)-OH
Fmoc-D-Ser(Ac4-L-Manα)-OH
Fmoc-L-Ser(Ac3-L-Fucα)-OH
Fmoc-Ser(Ac4Galβ1-3Ac2GalNAcα)-OH
Fmoc-Ser(Me,Ac4Neu5Acα2-6Ac2GalNAcα)-OH
Fmoc-Ser(Ac4Manα1-2Ac3Manα1-2Ac3Manα)-OH
上述信息均由西安凯新生物科技的小编小兮所整理
相关新闻资讯