4YR企业会员
发布人:西安凯新生物科技有限公司
发布日期:2025/5/14 9:57:31
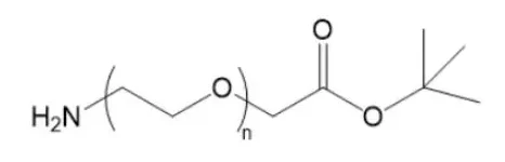
产品名称:氨基聚乙二醇乙酸叔丁酯,氨基-PEG-乙酸叔丁酯
英文名称: NH2-PEG-Tert,AminePEG-Tert,NH2-PEG-Tert butyl alcohol acetate
供应商:西安凯新生物科技有限公司
一、Product parameters:
1.Molecular formula:N/A
2.Molecular weight:0.4k,0.6k,0.8k,1k,2k,5k,10k,20k,50k(可按需定制)
3.Packaging specification:1g、5g、10g, flexible packaging, including 100mg packaging and 500mg 1g and 5g large packaging
Product structure:

二、Reaction characteristics:
氨基PEG乙酸叔丁酯(NH2-PEG-Tert)可以用来修饰蛋白质、多肽和其他带有羧基(-COOH)或者其他能和伯胺反应的活性基团的材料和小分子。氨基(- NH2)可以很容易的和羧基形成稳定的酰胺键,也可以和活性酯(-NHS)在PH7-8.5形成酰胺键。聚乙二醇可以增加溶解度和稳定性。减少多肽和蛋白质的免疫原性,它也能抑制带电分子在修饰表面的非特异性结合。
三、Matters for use:
It is sensitive to light and temperature. In order to use the reagent effectively, the material should always be kept in a low temperature dry condition, away from light, and avoid frequent thawing and freezing.
四、storage conditions:
Store at - 20 ℃ as much as possible. If conditions permit, the material can be treated under inert gas to obtain better stability of the reagent.

【Reagent related products】
多巴胺PEG罗丹明B
多巴胺PEG生物素
多巴胺聚乙二醇硅烷
二苯基环辛炔PEG丙烯酸酯
二苯基环辛炔聚乙二醇乙酸
巯基聚乙二醇荧光素
巯基聚乙二醇乙酸
琥珀酰亚胺丁二酸酯PEG丙炔
琥珀酰亚胺乙酸酯PEG叶酸
琥珀酰亚胺乙酸酯PEG丙炔
琥珀酰亚胺乙酸酯PEG羟基
相关新闻资讯