基本属性 供应商 供应信息

606804

606804

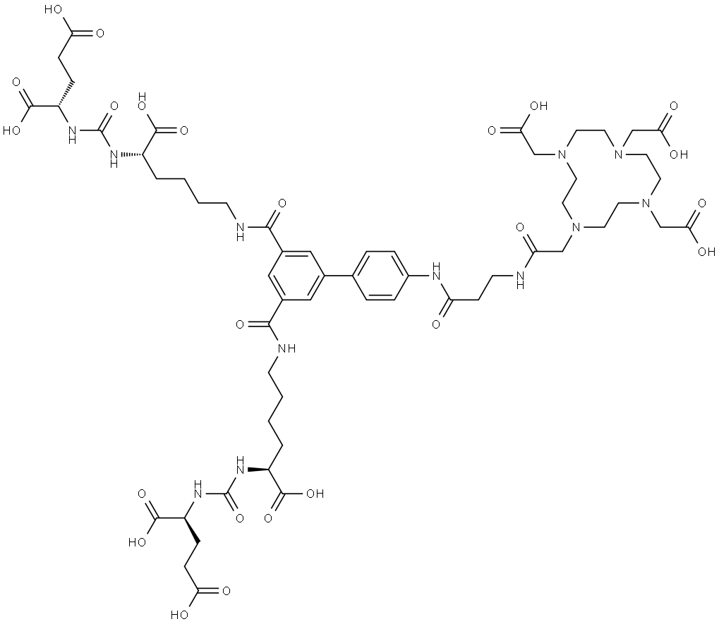
中文名称:606804
英文名称:PSMA-D5
CAS号:3056440-83-3
分子式:C57H80N12O24
分子量:1317.31
EINECS号:
Mol文件:3056440-83-3.mol
606804 结构式

606804 性质

沸点 1605.613±65.00 °C(Press: 760.00 Torr)(predicted)
密度 1.408±0.06 g/cm3(Temp: 25 °C; Press: 760 Torr)(predicted)
酸度系数(pKa) 1.833±0.10(predicted)

606804供应商 更多

江西辐氨生物技术有限公司
新品
联系电话: 18178976185
产品介绍:
中文名称:PSMA-D5
英文名称:PSMA-D5
CAS:3056440-83-3
纯度:98% HPLC
包装信息:1mg/;10mg/;100mg/
备注:所有产品仅用于科学 研究和药证申报,不为任何个人用途提供产品和服务
杭州肽佳生物科技有限公司
联系电话:0571-87213919
产品介绍:
中文名称:606804
英文名称:PSMA-D5
CAS:3056440-83-3
纯度:95% or 98% HPLC
包装信息:1mg;5mg;10mg;50mg;100mg,1g or according to customer's detail requirement.
备注:供应各种美容肽、科研用肽、多肽API、研发用药物肽杂质
南昌探真生物技术有限公司
联系电话: 13173652190
产品介绍:
英文名称:PSMA-D5
CAS:3056440-83-3
纯度:98% HPLC
包装信息:10mg;100mg;1000mg
备注:试剂级
杭州思诺达医药科技有限责任公司
联系电话:0571-87213919 17306812703
产品介绍:
中文名称:606804
英文名称:PSMA-D5
CAS:3056440-83-3
纯度:95% or 98% HPLC
包装信息:1mg;5mg;10mg;50mg;100mg,1g or according to customer's detail requirement.
备注:提供氨基酸分析方法开发,氨基酸质量研究用杂质;多肽仿制药工艺开发注册申报、多肽新药开发服务。供应各种美容肽、科研用肽、多肽API、研发用药物肽杂质、氨基酸杂质

最新发布供应信息

PSMA-D5
江西辐氨生物技术有限公司 2025-11-18