基本属性 供应商

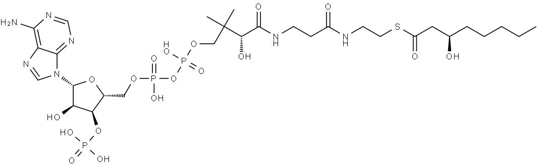
3(R)-Hydroxyoctanoyl-CoA

3(R)-Hydroxyoctanoyl-CoA

英文名称:3(R)-Hydroxyoctanoyl-CoA
CAS号:117249-49-7
分子式:C29H50N7O18P3S
分子量:909.73
EINECS号:
Mol文件:117249-49-7.mol
3(R)-Hydroxyoctanoyl-CoA 结构式

3(R)-Hydroxyoctanoyl-CoA 性质

密度 1.754±0.14 g/cm3(Temp: 25 °C; Press: 760 Torr)(predicted)
酸度系数(pKa) 1.157±0.50(predicted)

3(R)-Hydroxyoctanoyl-CoA供应商 更多

上海楷森生物科技有限公司
联系电话: 17558870519
产品介绍:
英文名称:3(R)-Hydroxyoctanoyl-CoA
CAS:117249-49-7
纯度:95%+
包装信息:2mg