2803421-14-7(nBu-CAyl-{Cys(tMeBn(DOTA-AET)-Pro-Pro-Thr-GIn-Phe-Cys}-OH)
2803421-14-7 Basic informationMore
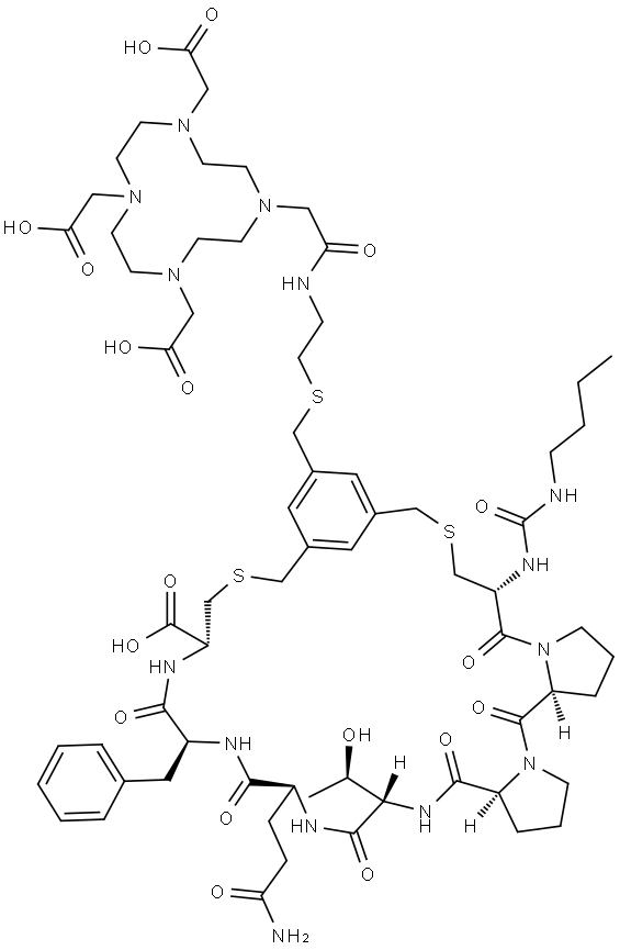
- Product Name:nBu-CAyl-{Cys(tMeBn(DOTA-AET)-Pro-Pro-Thr-GIn-Phe-Cys}-OH
- Synonyms: nBu-CAyl-{Cys(tMeBn(DOTA-AET)-Pro-Pro-Thr-GIn-Phe-Cys}-OH 3BP-3940 nBu-CAyl-[Cys(tMeBn(DOTA-AET))-Pro-Pro-Thr-Gln-Phe-Cys]-OH L-Cysteine, N-[(butylamino)carbonyl]-S-[[3-(mercaptomethyl)-5-[[[2-[[2-[4,7,10-tris(carboxymethyl)-1,4,7,10-tetraazacyclododec-1-yl]acetyl]amino]ethyl]thio]methyl]phenyl]methyl]-L-cysteinyl-L-prolyl-L-prolyl-L-threonyl-L-glutaminyl-L-phenylalanyl-, cyclic (1→7)-thioether
- CAS:2803421-14-7
- MF:C66H98N14O18S3
- MW:1471.77
- EINECS:
- Mol File:2803421-14-7.mol
-
Browse by Nationality 2803421-14-7 Suppliers >China suppliers
Recommend You Select Member Companies