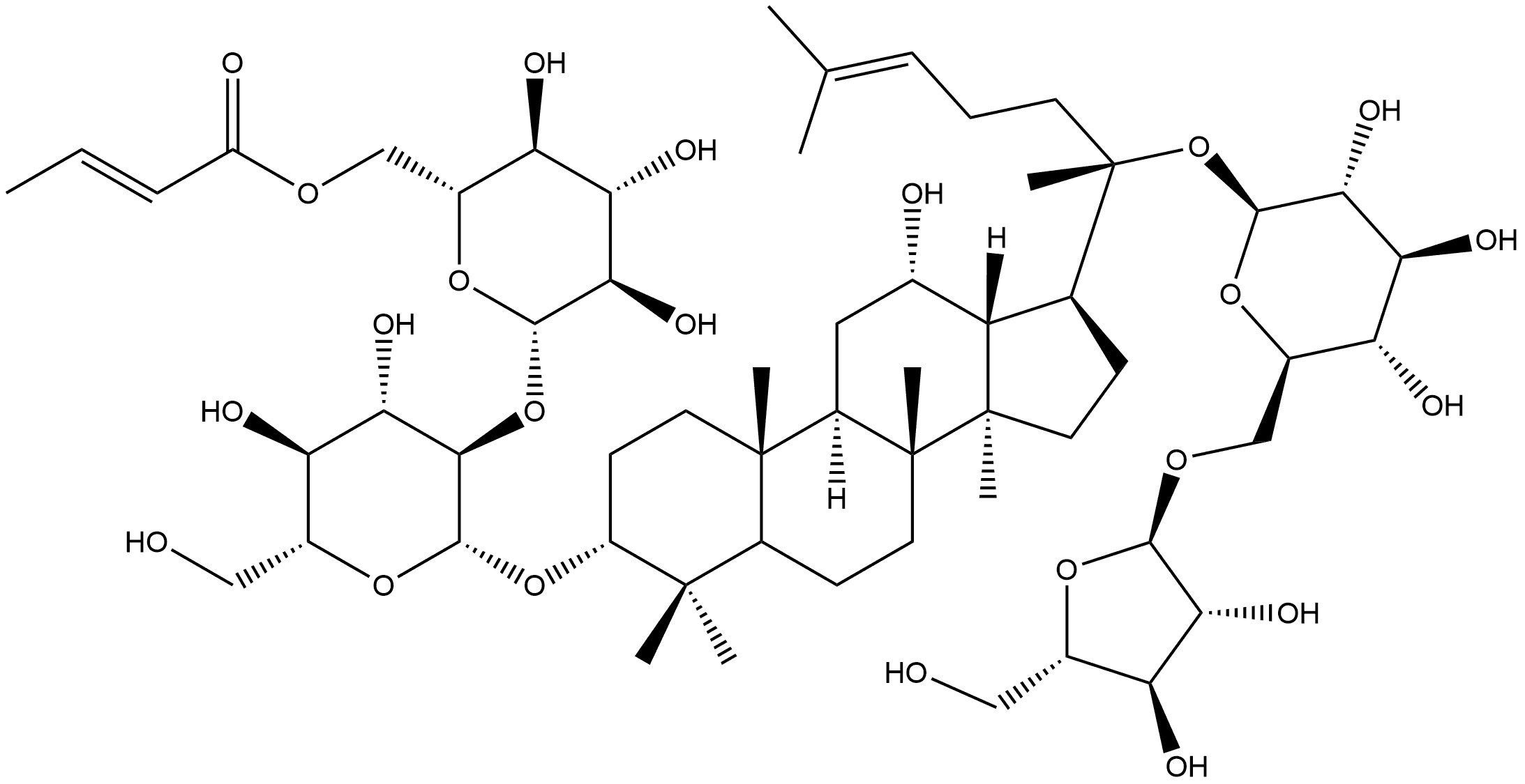
1346522-92-6(β-D-Glucopyranoside, (3β,12β)-20-[(6-O-α-L-arabinofuranosyl-β-D-glucopyranosyl)oxy]-12-hydroxydammar-24-en-3-yl 2-O-[6-O-[(2E)-1-oxo-2-buten-1-yl]-β-D-glucopyranosyl]-)
1346522-92-6 Basic informationMore
- Product Name:β-D-Glucopyranoside, (3β,12β)-20-[(6-O-α-L-arabinofuranosyl-β-D-glucopyranosyl)oxy]-12-hydroxydammar-24-en-3-yl 2-O-[6-O-[(2E)-1-oxo-2-buten-1-yl]-β-D-glucopyranosyl]-
- Synonyms: β-D-Glucopyranoside, (3β,12β)-20-[(6-O-α-L-arabinofuranosyl-β-D-glucopyranosyl)oxy]-12-hydroxydammar-24-en-3-yl 2-O-[6-O-[(2E)-1-oxo-2-buten-1-yl]-β-D-glucopyranosyl]- Ginsenoside Ra9
- CAS:1346522-92-6
- MF:C57H94O23
- MW:1147.34
- EINECS:
- Mol File:1346522-92-6.mol
-
Browse by Nationality 1346522-92-6 Suppliers >China suppliers
Recommend You Select Member Companies