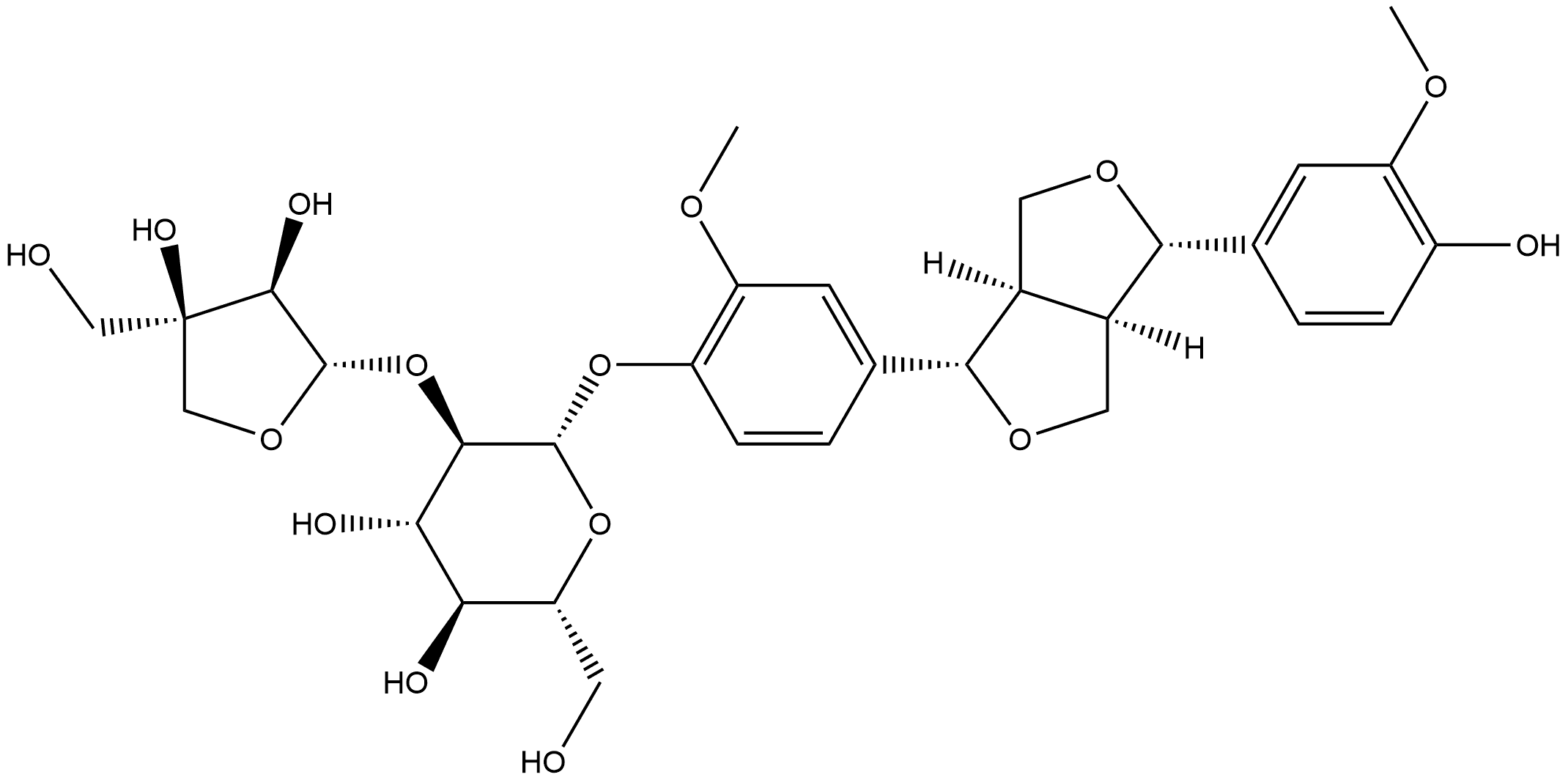
123564-49-8(2-Methoxy-4-[(1S,3aR,4S,6aR)-tetrahydro-4-(4-hydroxy-3-methoxyphenyl)-1H,3H-furo[3,4-c]furan-1-yl]phenyl 2-O-D-apio-β-D-furanosyl-β-D-glucopyranoside)
123564-49-8 Basic informationMore
- Product Name:2-Methoxy-4-[(1S,3aR,4S,6aR)-tetrahydro-4-(4-hydroxy-3-methoxyphenyl)-1H,3H-furo[3,4-c]furan-1-yl]phenyl 2-O-D-apio-β-D-furanosyl-β-D-glucopyranoside
- Synonyms: 2-Methoxy-4-[(1S,3aR,4S,6aR)-tetrahydro-4-(4-hydroxy-3-methoxyphenyl)-1H,3H-furo[3,4-c]furan-1-yl]phenyl 2-O-D-apio-β-D-furanosyl-β-D-glucopyranoside Pinoresinol-4-O-β-D-apiosyl-(1→2)β-D-glucoside
- CAS:123564-49-8
- MF:C31H40O15
- MW:652.64
- EINECS:
- Mol File:123564-49-8.mol
-
Browse by Nationality 123564-49-8 Suppliers >China suppliers
Recommend You Select Member Companies