79171-50-9(Coenzyme A, S-[(3S)-3-hydroxyhexadecanoate])
79171-50-9 Basic informationMore
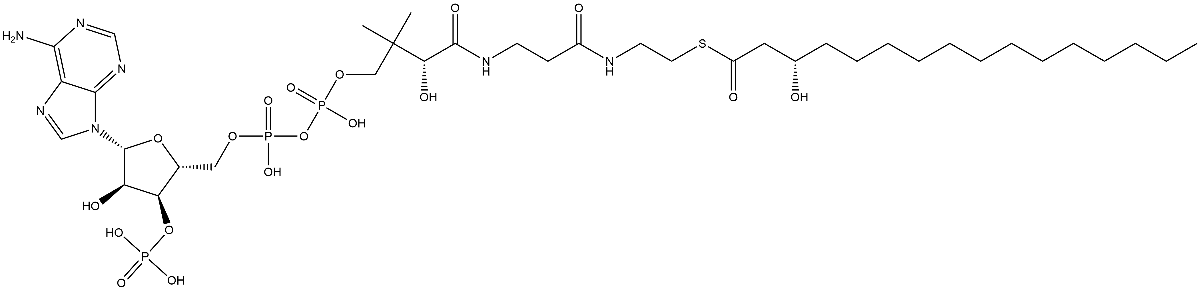
- Product Name:Coenzyme A, S-[(3S)-3-hydroxyhexadecanoate]
- Synonyms: Coenzyme A, S-[(3S)-3-hydroxyhexadecanoate] L-3-Hydroxyhexadecanoyl-CoA
- CAS:79171-50-9
- MF:C37H66N7O18P3S
- MW:1021.94
- EINECS:
- Mol File:79171-50-9.mol
-
Browse by Nationality 79171-50-9 Suppliers >China suppliers
Recommend You Select Member Companies